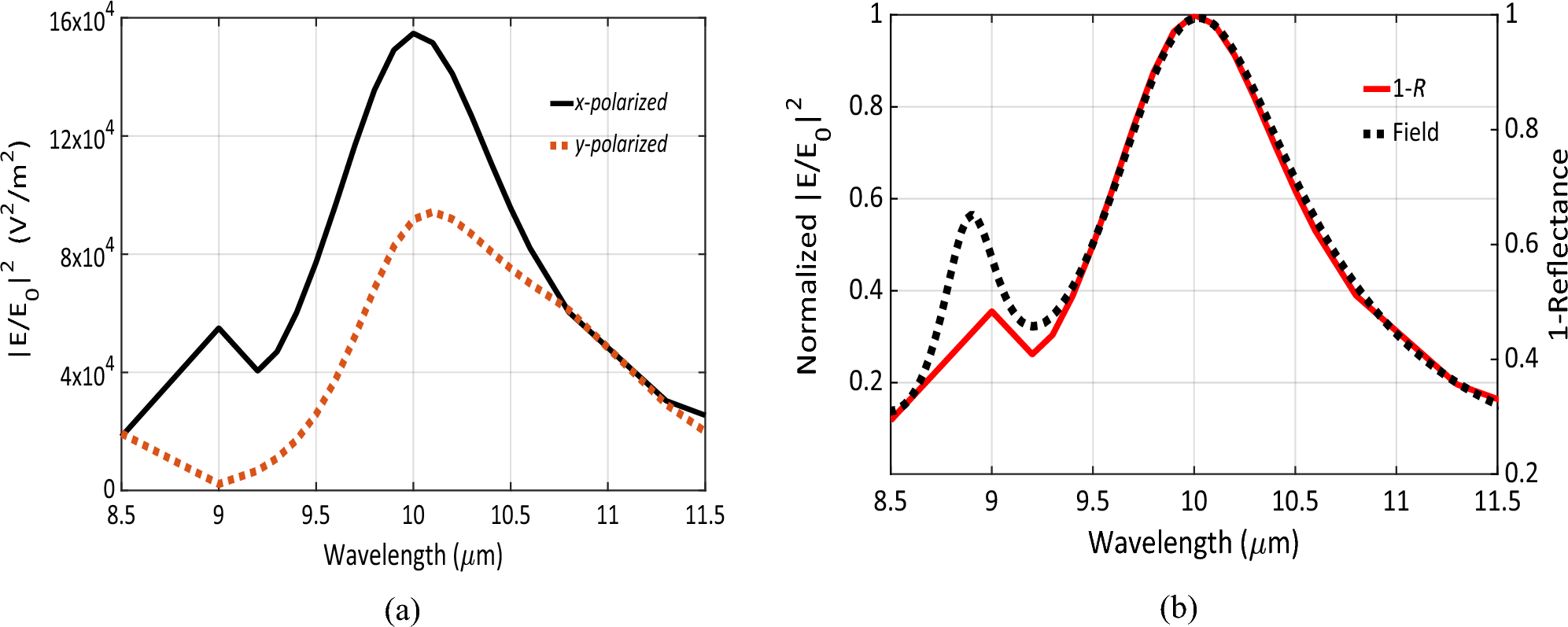
Figure 3
From: Optimized polarization-independent Chand-Bali nano-antenna for thermal IR energy harvesting

(a) The enhancement of the electric field intensity |E/E0|2 of the optimal design of the Chand-Bali nano-antenna structure vs. wavelength, the x-polarized is in solid while y-polarized is plotted as dotted lines. (b) The normalized enhancement factor for an x-polarized incident wave plotted with (1 − Refelctance) of the same x-polarized one showing matching response around the resonance wavelength.