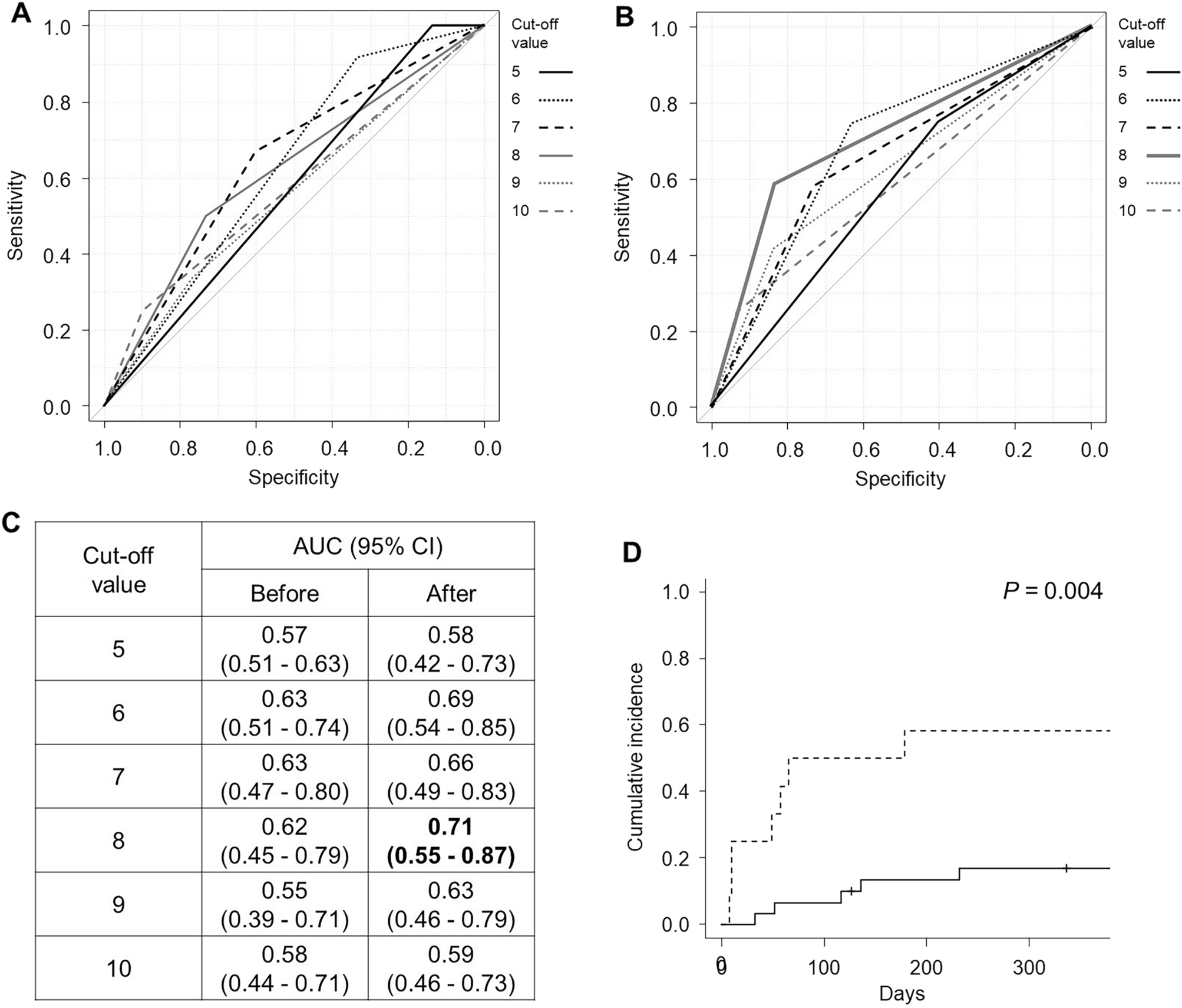
Figure 3

ROC curve analysis of HokUS-10 scoring system to predict SOS-RM. ROC curves to determine the cut-off values with the highest predictive performance by HokUS-10 scoring system before (A) and after (B) the treatment of SOS. Area under the ROC curves calculated by each cut-off value (C). The cumulative incidence of SOS-RM in patients with < 8 (solid line, N = 30) or ≥ 8 points (dashed line, N = 12) of HokUS-10 total score after the treatment of SOS (D).