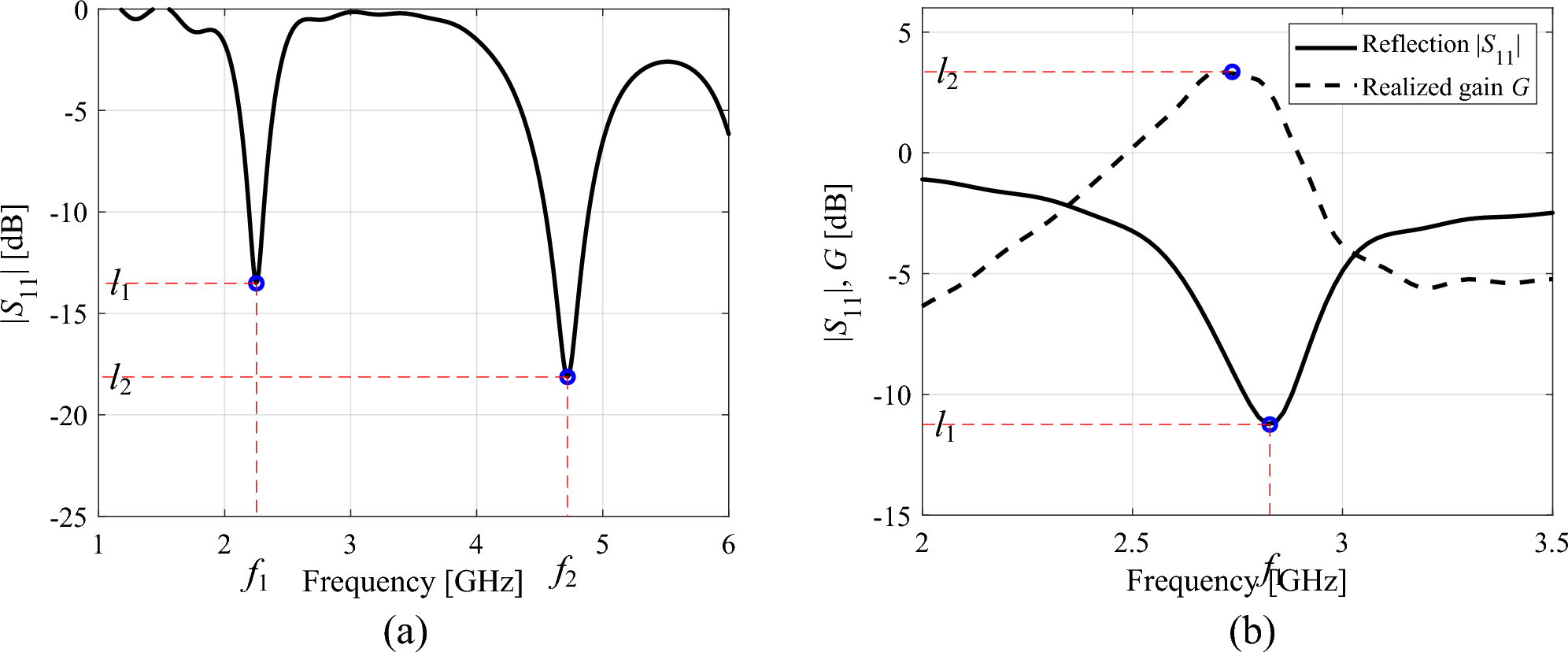
Figure 4
From: High-efficacy global optimization of antenna structures by means of simplex-based predictors

Examples of the operating and performance parameters: (a) exemplary dual-band antenna with the operating figure vector consisting of antenna resonant frequencies f = [f1 f2]T, and the performance figure vector consisting of reflection levels at the centre frequencies l = [l1 l2]T; (b) exemplary quasi-Yagi antenna with the operating figure vector containing the centre frequency f = f1, and the performance figure vector containing reflection level at f1 and maximum realized gain value l2, i.e., l = [l1 l2]T.