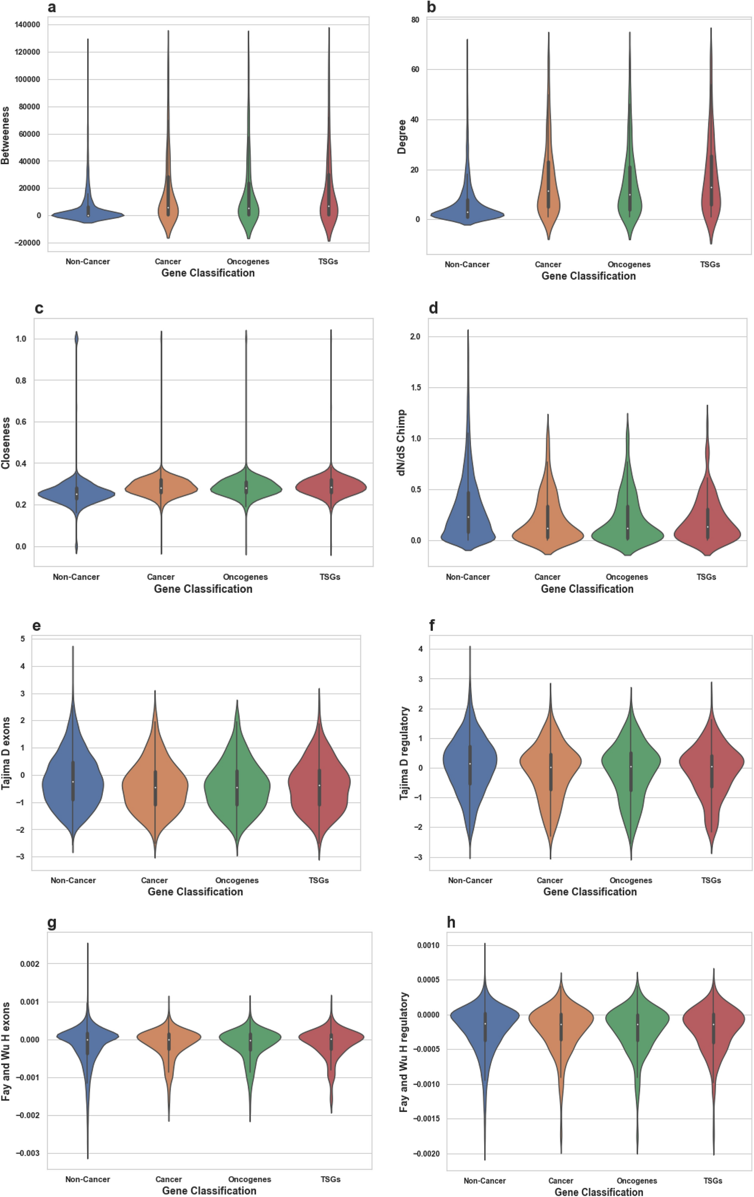
Figure 1



Distributions of all tested features’ values for Non-Cancer and Cancer genes. These violin plots outline distributions of: (a) Betweenness (b) Degree (c) Closeness (d) dN/dS Chimp (e) Tajima D exons (f) Tajima D regulatory (g) Fay and Wu H exons (h) Fay and Wu H regulatory (i) RVIS (j) Phi (k) Blomen KBM7 (l) Wang K562 (m) missense-Z (n) LofTool (o) shet (p) Transcript count (q) Gene Length bp (r) StdDev Transcript length (s) Average Transcript length (t) Max Transcript length and (v) Exon Count with overlaid boxplots. The width of the violin plots represents the proportion of the data located there; the top and bottom of the boxplots denote the upper and lower quartiles; the white dot inside the box denotes the median of the data.