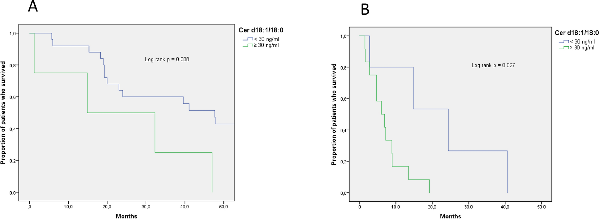
Figure 4

OS subgroup analysis of C18 Cer in the 1 L (A) and > 2 L (B) cohorts. Univariate unadjusted models were used. The green line represents patients with C18 Cer ≥ 30 ng/ml, whereas the blue line represents patients with C18 Cer < 30 ng/mL.

OS subgroup analysis of C18 Cer in the 1 L (A) and > 2 L (B) cohorts. Univariate unadjusted models were used. The green line represents patients with C18 Cer ≥ 30 ng/ml, whereas the blue line represents patients with C18 Cer < 30 ng/mL.