Figure 13
From: Modeling of formation damage during smart water flooding in sandstone reservoirs

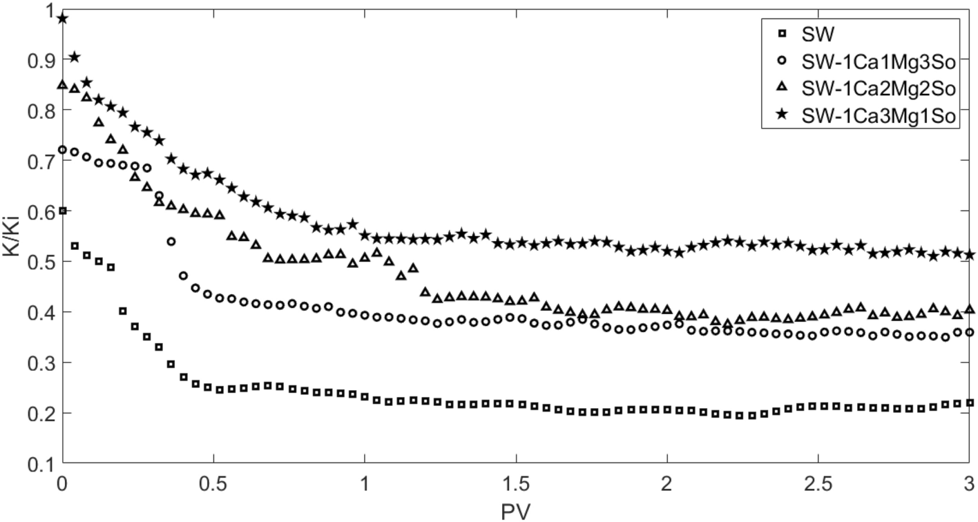
Permeability ratio as function of injected pore volume for different modified seawaters.
From: Modeling of formation damage during smart water flooding in sandstone reservoirs

Permeability ratio as function of injected pore volume for different modified seawaters.