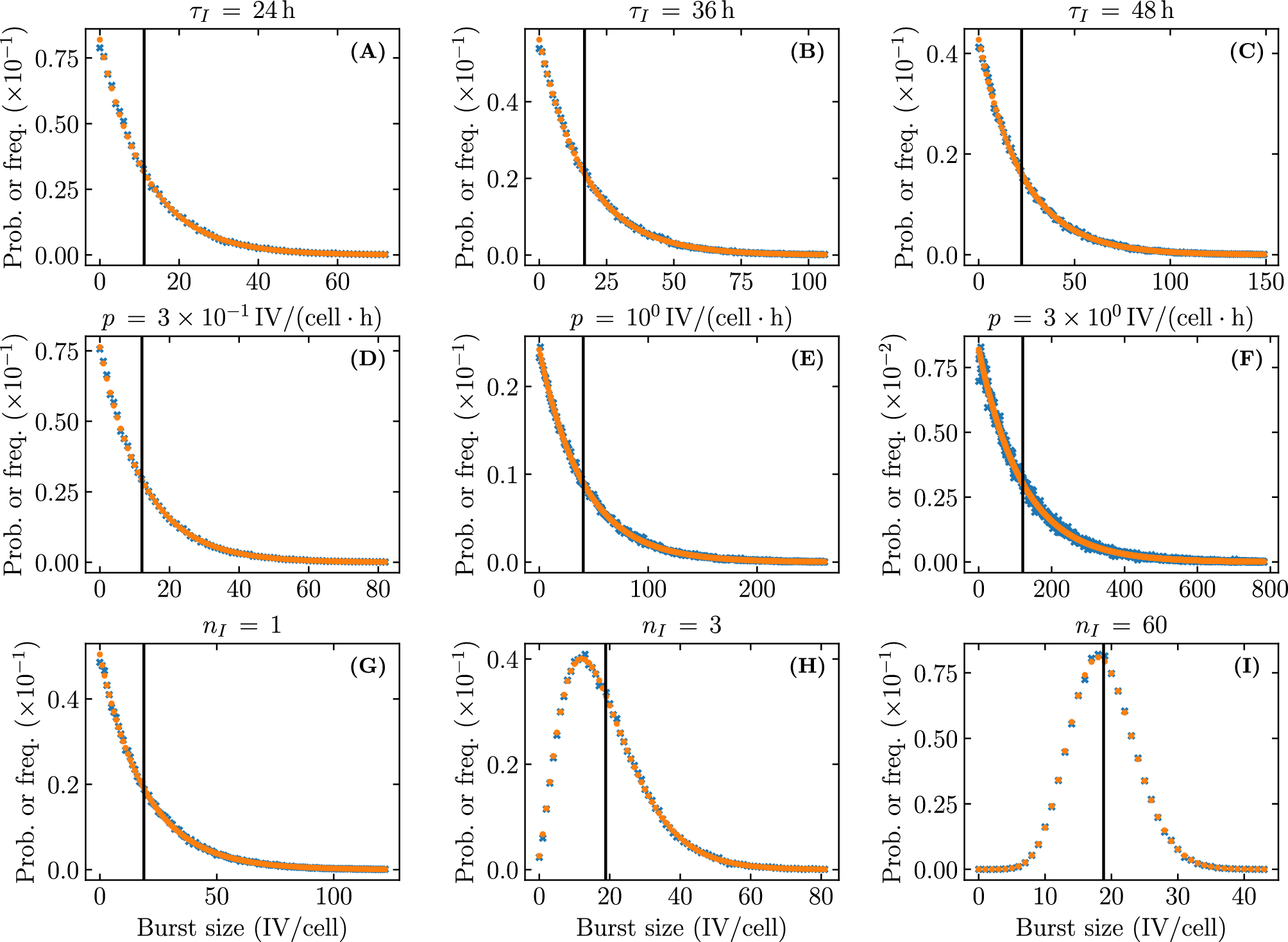
Figure 14

Probability that an infectious cell will produce m infectious virions. Normalized histogram of the burst size, i.e. the total number of infectious virions produced by one infectious cell over its lifespan, for \(10^5\) SM simulations (blue x), compared to the derived expression for the probability mass function of the burst size distribution (orange circle, Eq. (21)) while either varying (A–C) \(\tau _I\), (D–F) p or (G–I) \(n_I\). The black lines show the average burst size values \({\mathcal {B}} = p \tau _I\). Unless otherwise specified, the parameters were the same as in Fig. 4.