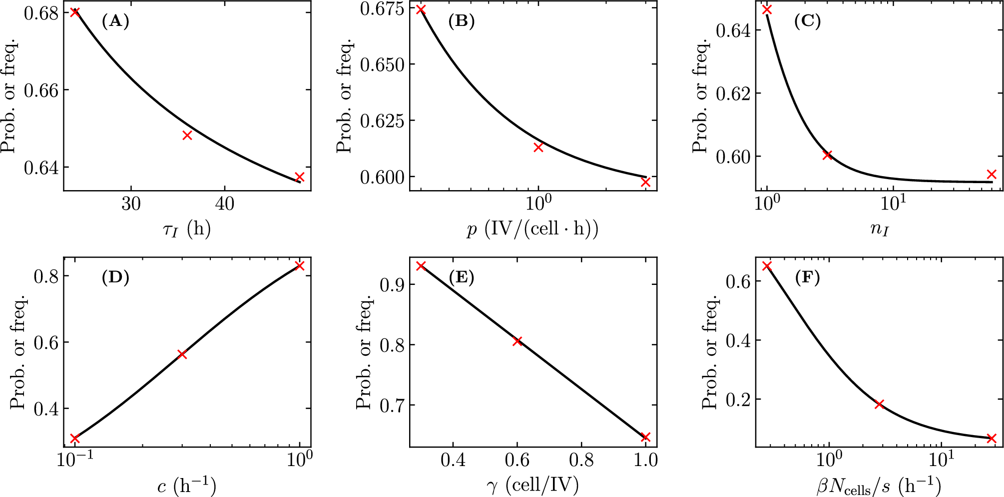
Figure 15

Extinction probability given an infection initiated with only one infectious virion. Frequency of failure of an infection initiated with only one infectious virion to cause more than 0.01% of cells to be infected by the end for \(10^5\) SM simulations (red scatter) compared to \({\mathcal {P}}_{V \rightarrow \, \text {Extinction}}\) the derived expression for the extinction probability given an infection initiated with only one infectious virion (black curve, Eq. (30)) while either varying (A) \(\tau _I\), (B) p, (C) \(n_I\), (D) c, (E) \(\gamma\) or (F) \(\beta N_\text {cells}/s\). Unless otherwise specified, the parameters were the same as in Fig. 4.