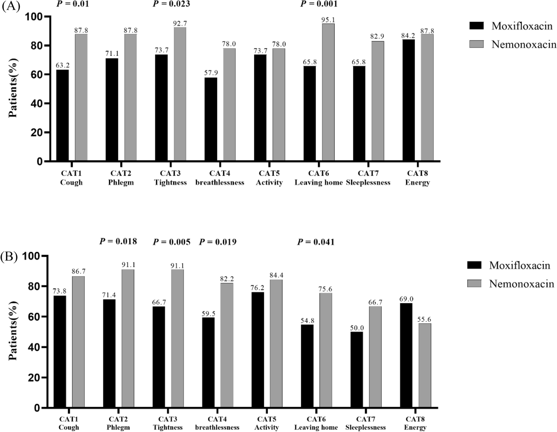
Figure 2

Percentage of patients reporting an improvement in CAT items by patients reporting a decline (≥ 1 point) or an improvement (≤ − 1 point) in CAT items following moxifloxacin or nemonoxacin therapy (A) during 4 weeks and (B) 24 weeks follow-up. CAT COPD assessment test.