Figure 2

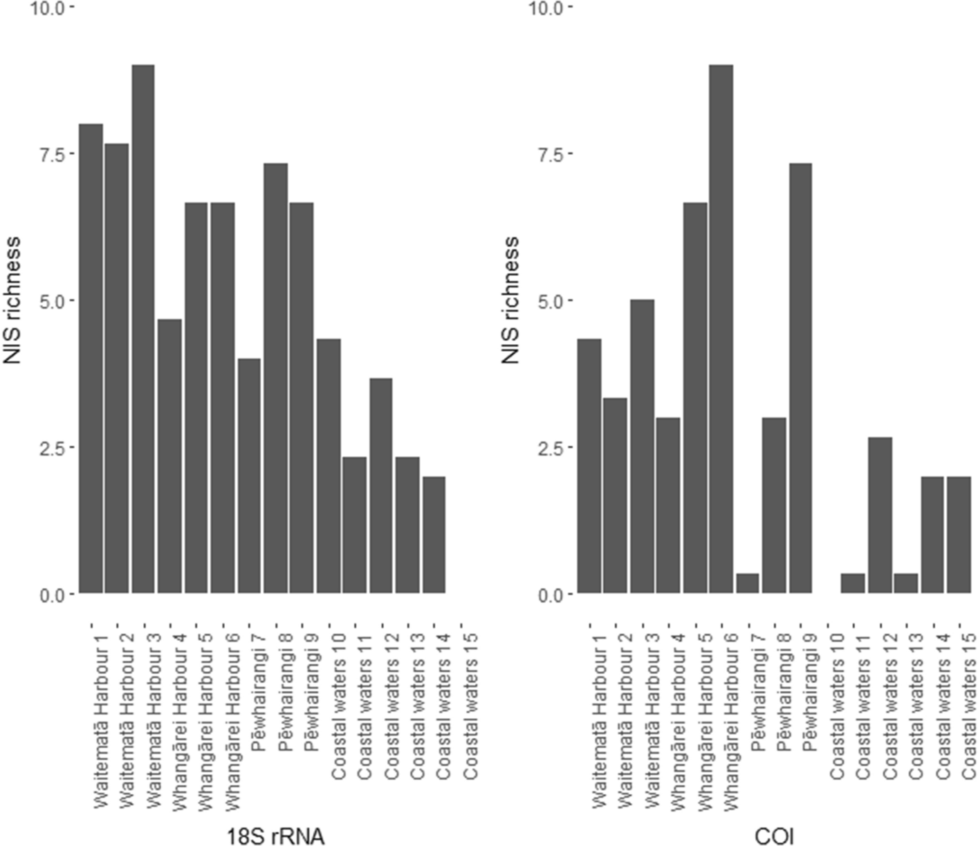
Bar plots visualizing non-indigenous species (NIS) abundance (observed Amplicon Sequence Variants [ASV]) per sampling location for the 18S rRNA and COI gene datasets.

Bar plots visualizing non-indigenous species (NIS) abundance (observed Amplicon Sequence Variants [ASV]) per sampling location for the 18S rRNA and COI gene datasets.