Figure 3
From: Mixed infections in genotypic drug-resistant Mycobacterium tuberculosis

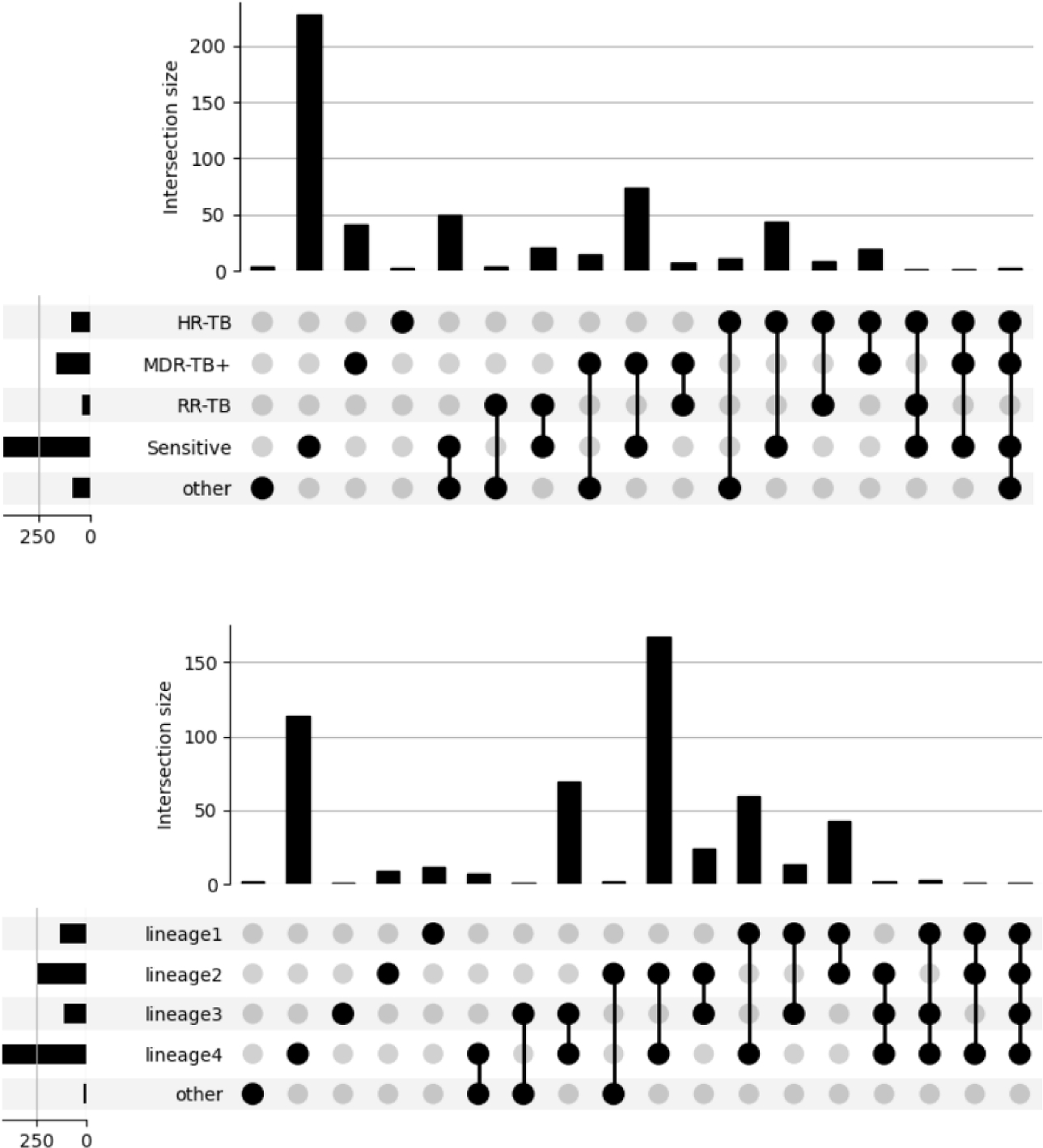
The M. tuberculosis isolates putative evidence of mixed strain infections as measured by drug resistance type (n = 531).
From: Mixed infections in genotypic drug-resistant Mycobacterium tuberculosis

The M. tuberculosis isolates putative evidence of mixed strain infections as measured by drug resistance type (n = 531).