Figure 2
From: Acute stress impacts reaction times in older but not in young adults in a flanker task

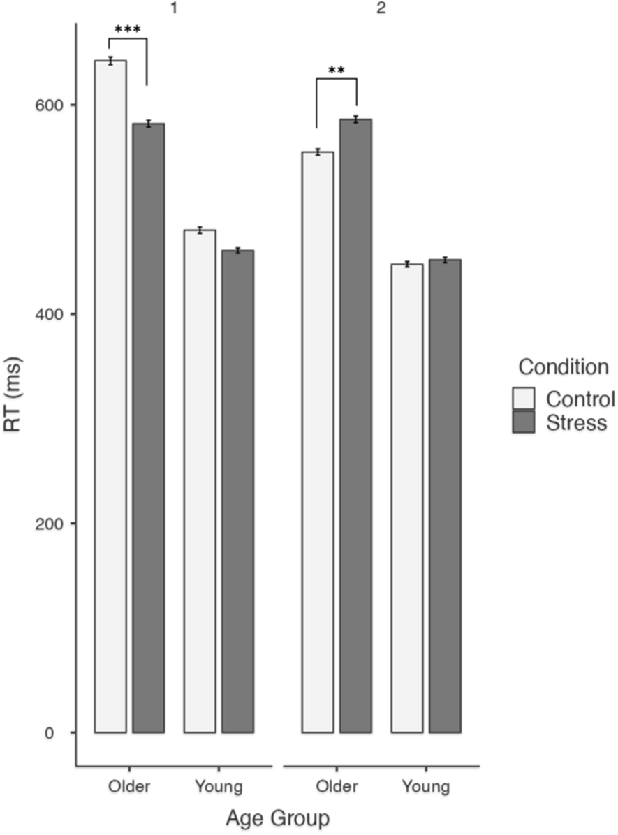
Stress Effects on RTs in young versus Older adults during Session 1 (1) versus Session 2 (2). Error bars represent SE.
From: Acute stress impacts reaction times in older but not in young adults in a flanker task

Stress Effects on RTs in young versus Older adults during Session 1 (1) versus Session 2 (2). Error bars represent SE.