Figure 6
From: A novel fractional-order dead-time compensating controller for the wireless networks

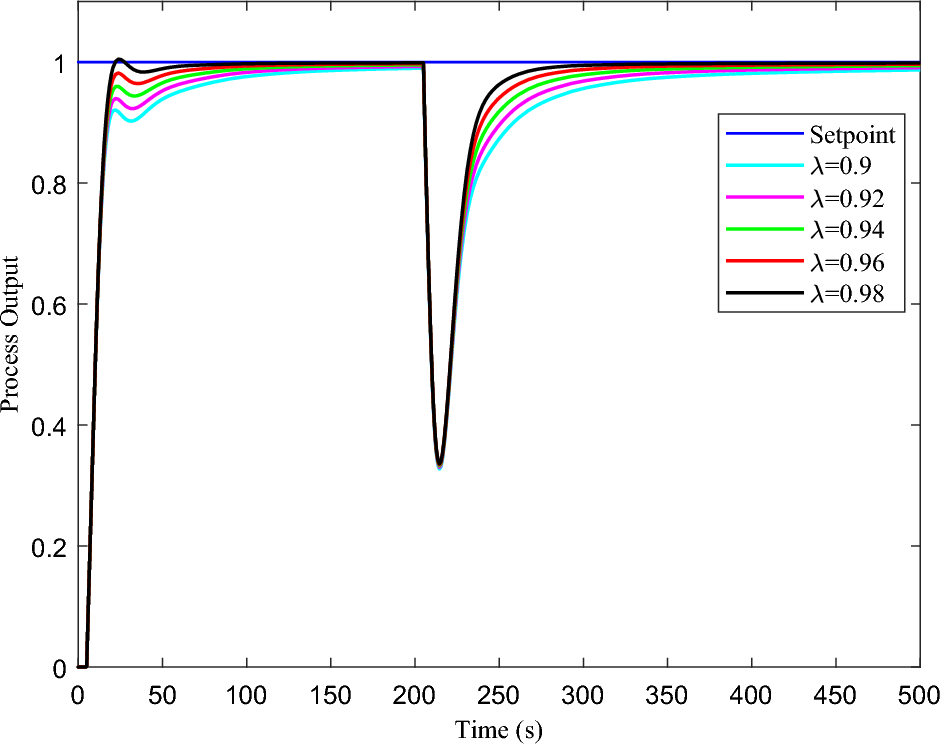
Performance of the FOPPI controller for different values of \(\lambda\).
From: A novel fractional-order dead-time compensating controller for the wireless networks

Performance of the FOPPI controller for different values of \(\lambda\).