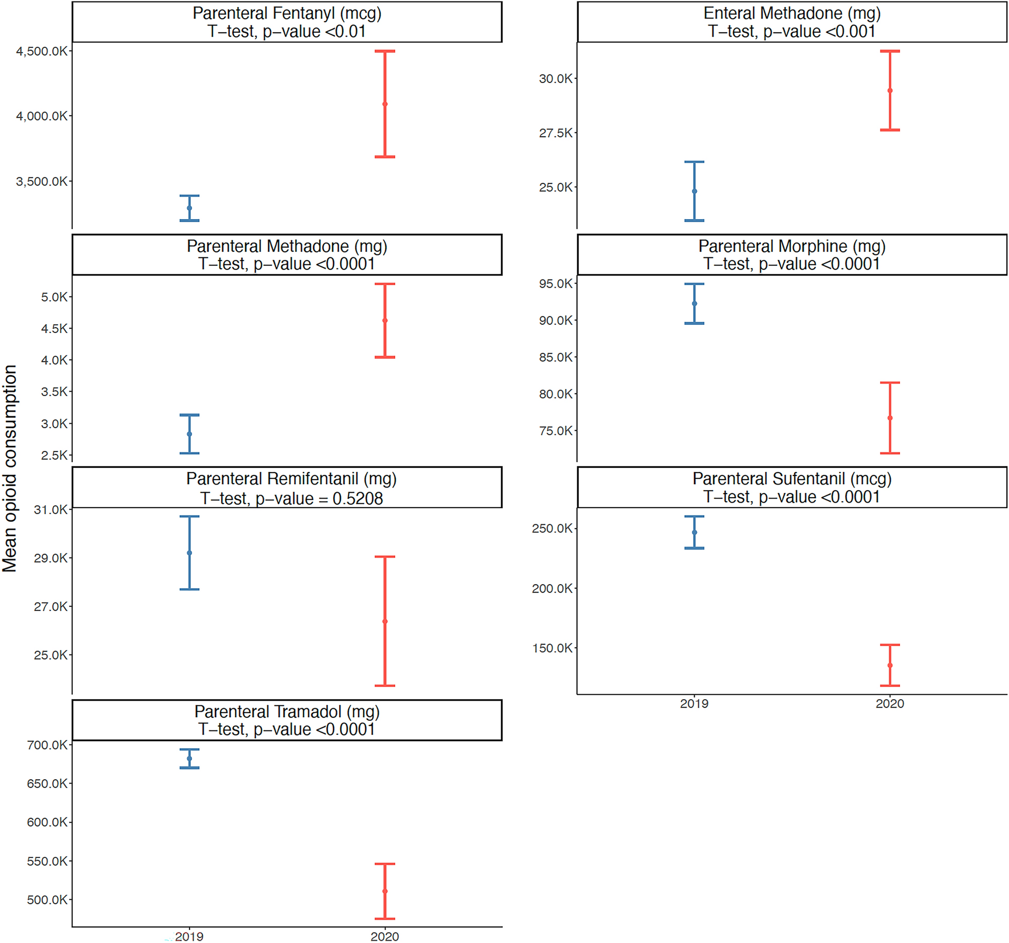
Figure 2

Mean in-hospital consumption of opioids in 2019 and 2020. The bars show the means and their 95% confidence interval. Data were compared using the Student t-test.

Mean in-hospital consumption of opioids in 2019 and 2020. The bars show the means and their 95% confidence interval. Data were compared using the Student t-test.