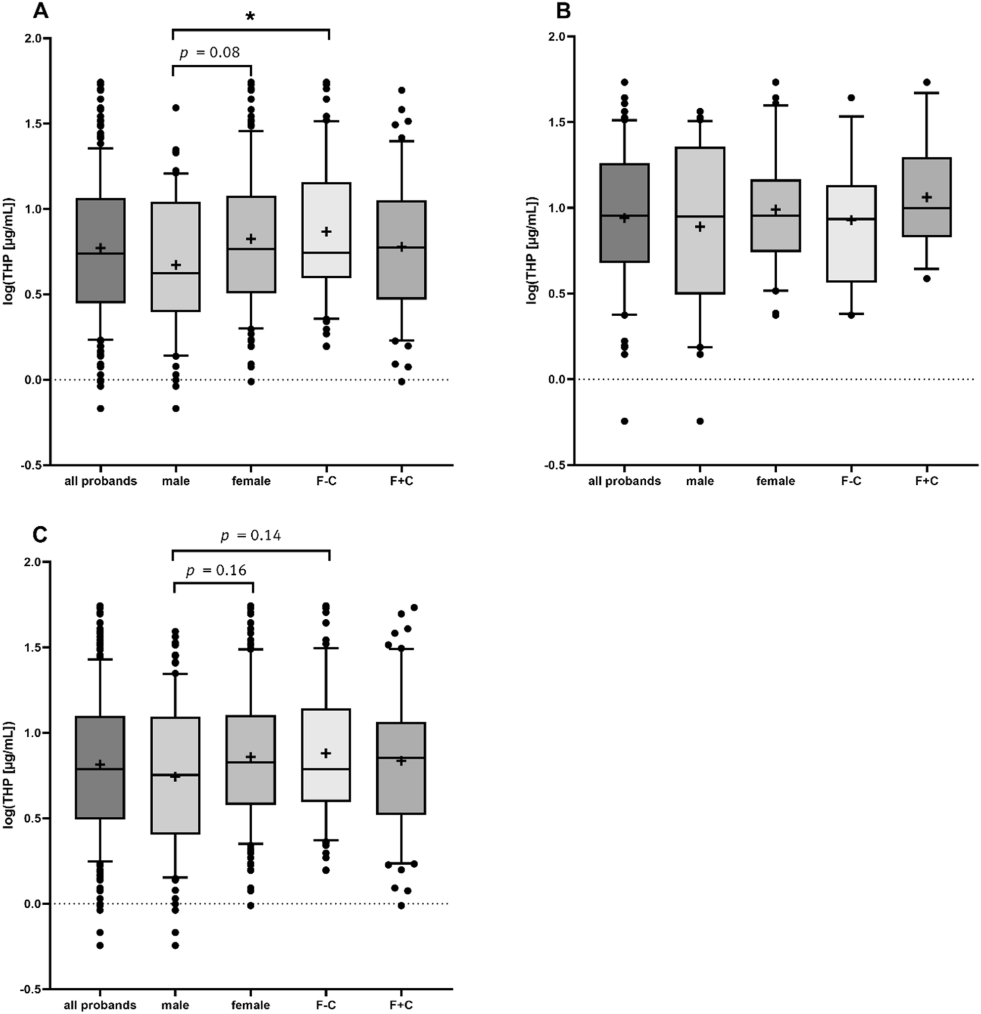
Figure 1

(A) Log10(THP [µg/mL]) of study population (1) from biomedical study 2019–177-f-S. (B) Log10(THP [µg/mL]) of study population (2) from biomedical study 2021–084-f-S. C Log10(THP [µg/mL]) of combined study populations (1 + 2) from biomedical studies 2019 177 f. S and 2019 177 f. S. Subgroups: male subjects; female subjects; F–C: female subjects with no regular hormonal contraceptive intake; F + C: female subjects with regular hormonal contraceptives intake. Box plots depict the 10 to 90 percentile, + represents mean value. Data was processed by one-way ANOVA. Subsequently, post-hoc test was conducted by Tuckey’s multiple comparison. *p < 0.05.