Figure 3
From: The association of lipid metabolism and sarcopenia among older patients: a cross-sectional study

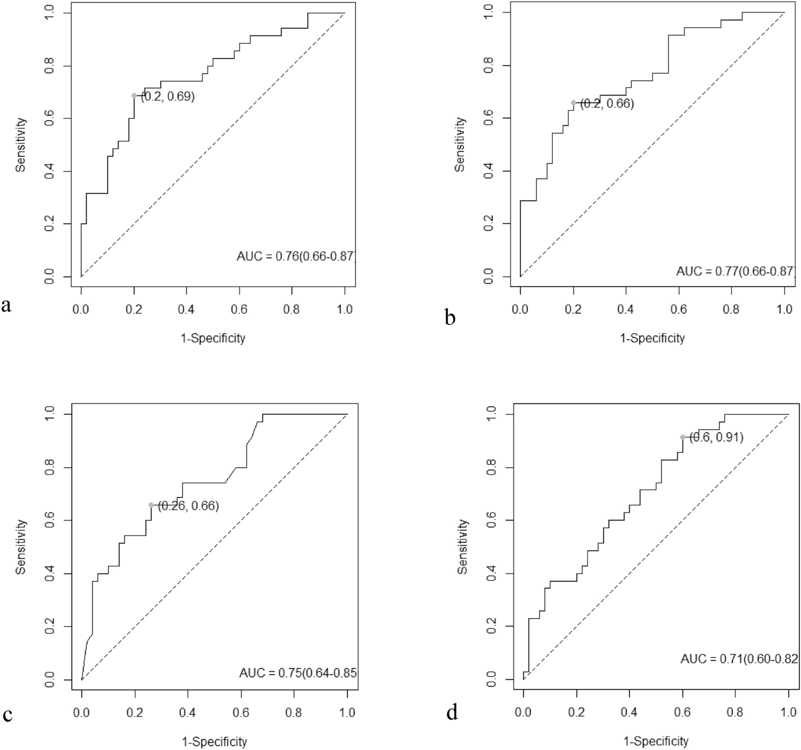
ROC curve of sarcopenia risk prediction model. (a) LR; (b) SVM; (c) KNN; (d) XGboost.
From: The association of lipid metabolism and sarcopenia among older patients: a cross-sectional study

ROC curve of sarcopenia risk prediction model. (a) LR; (b) SVM; (c) KNN; (d) XGboost.