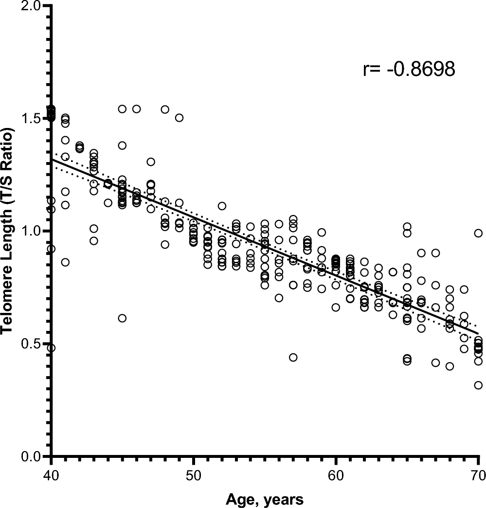
Figure 2

Correlation between telomere length (T/S ratio) in age matched healthy individuals and in patients with both controlled and un-controlled metabolic syndrome, at the age of 40–70 years. A scatterplot showing a significant negative correlation between selected age (x-axis) and adjusted relative telomere length (y-axis), ***p < 0.001. The Spearman correlation coefficient (r) is indicated.