Figure 11

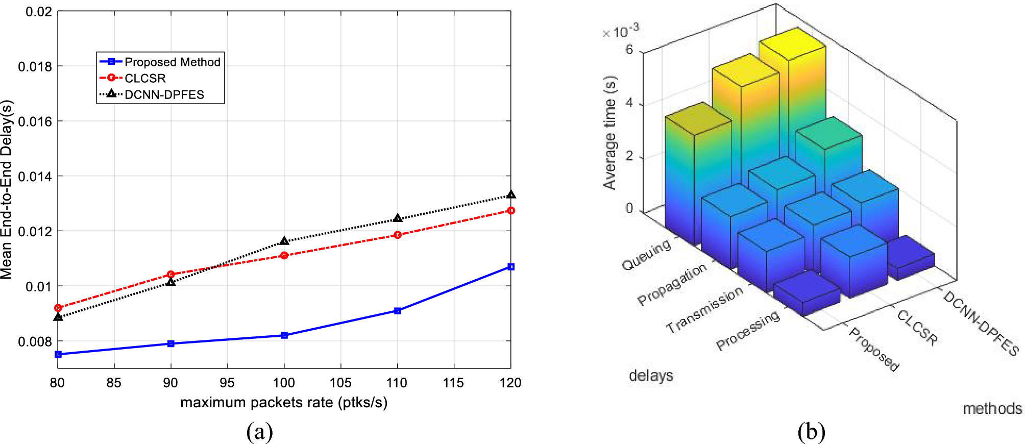
(a) Average network end-to-end delay for different network data rate (b) The average end-to-end delay of methods in terms of into propagation, processing, transmission and queueing delays.

(a) Average network end-to-end delay for different network data rate (b) The average end-to-end delay of methods in terms of into propagation, processing, transmission and queueing delays.