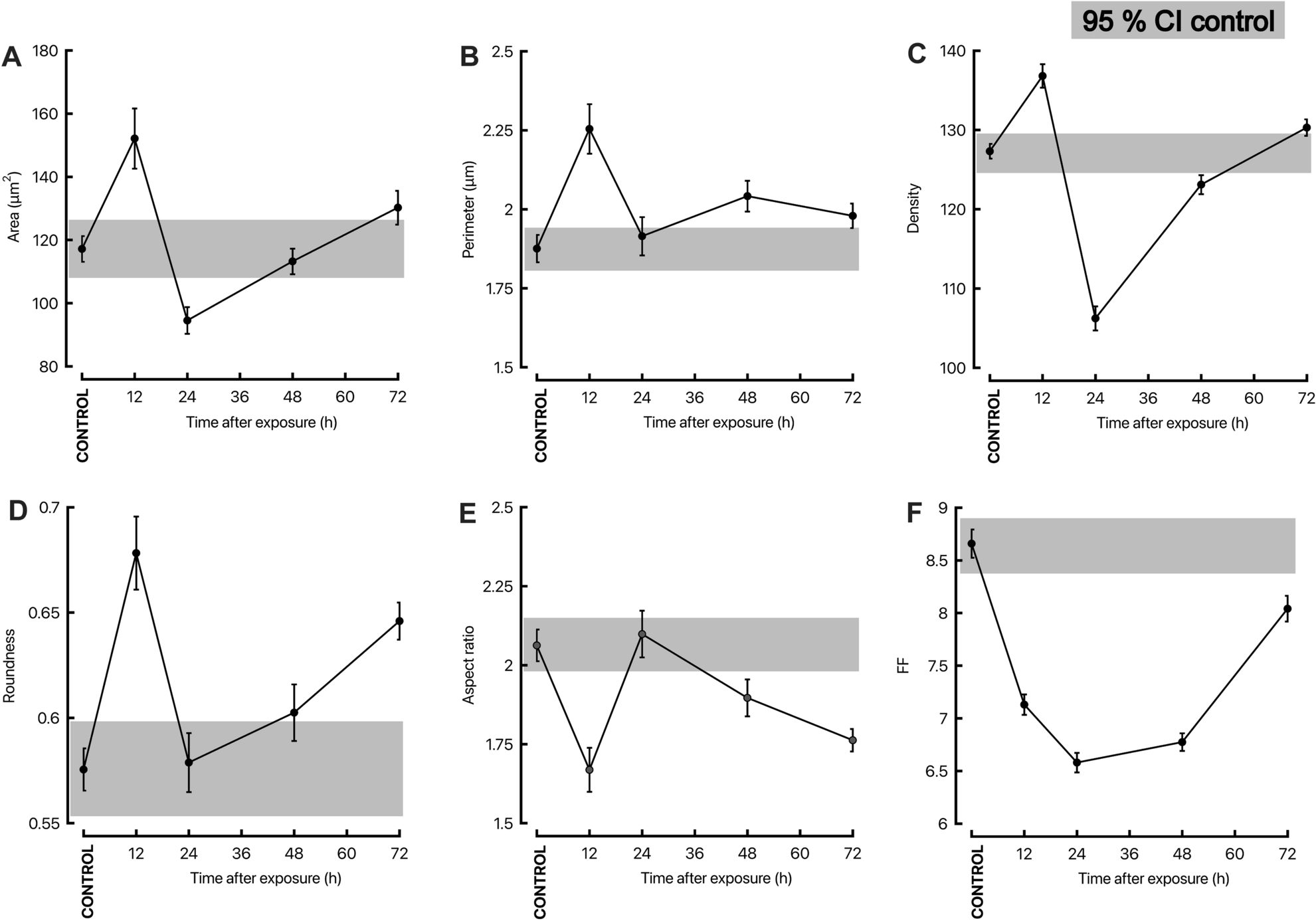
Figure 5
From: Disrupted brain mitochondrial morphology after in vivo hydrogen sulfide exposure

Acute hydrogen sulfide exposure alters mitochondria morphology. Parameters of mitochondrial morphology obtained with ImageJ software were the following: area (A), perimeter (B), density (C), roundness (D), aspect ratio (E), and form factor (F). Average values/conditions with S.D. are presented as a function of time for each of the five outcomes. The 95% confidence intervals built with control values from air-breathing animals are shown as grey rectangles, where the top border is the upper 95% CI limit, and the lower border is the lower 95% CI limit.