Figure 7
From: An S-band multimode reflector antenna for a satellite constellation tracking system

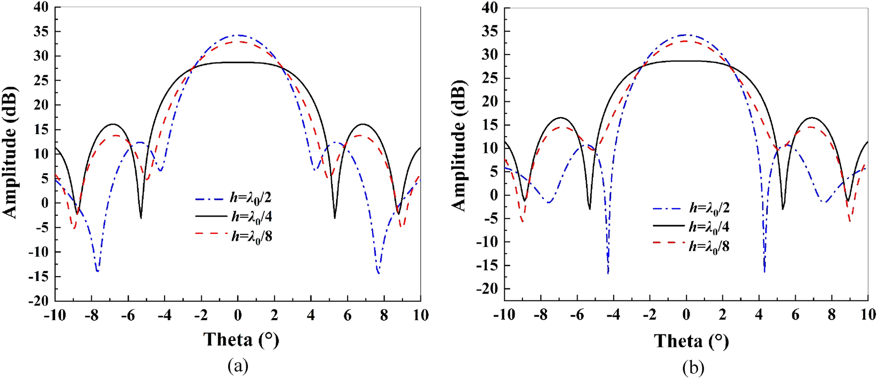
Influence of parameter h on the pattern: (a) E-plane; (b) H-plane.
From: An S-band multimode reflector antenna for a satellite constellation tracking system

Influence of parameter h on the pattern: (a) E-plane; (b) H-plane.