Figure 6
From: Random forest method for estimation of brake specific fuel consumption

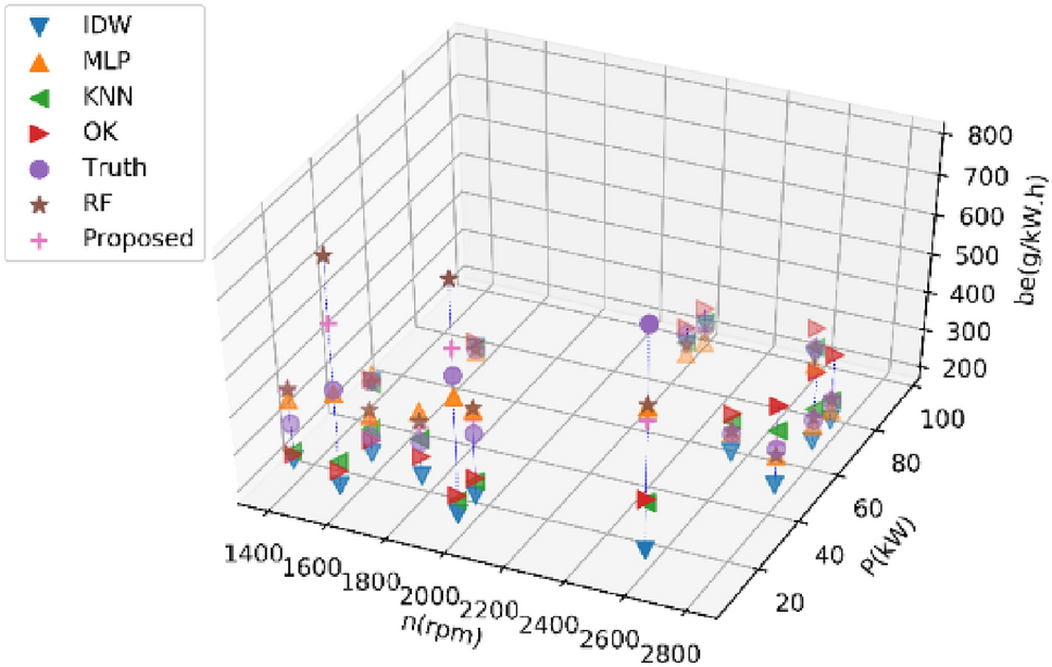
Results of different methods on Dataset 2 for estimating 20% of BSFC data.
From: Random forest method for estimation of brake specific fuel consumption

Results of different methods on Dataset 2 for estimating 20% of BSFC data.