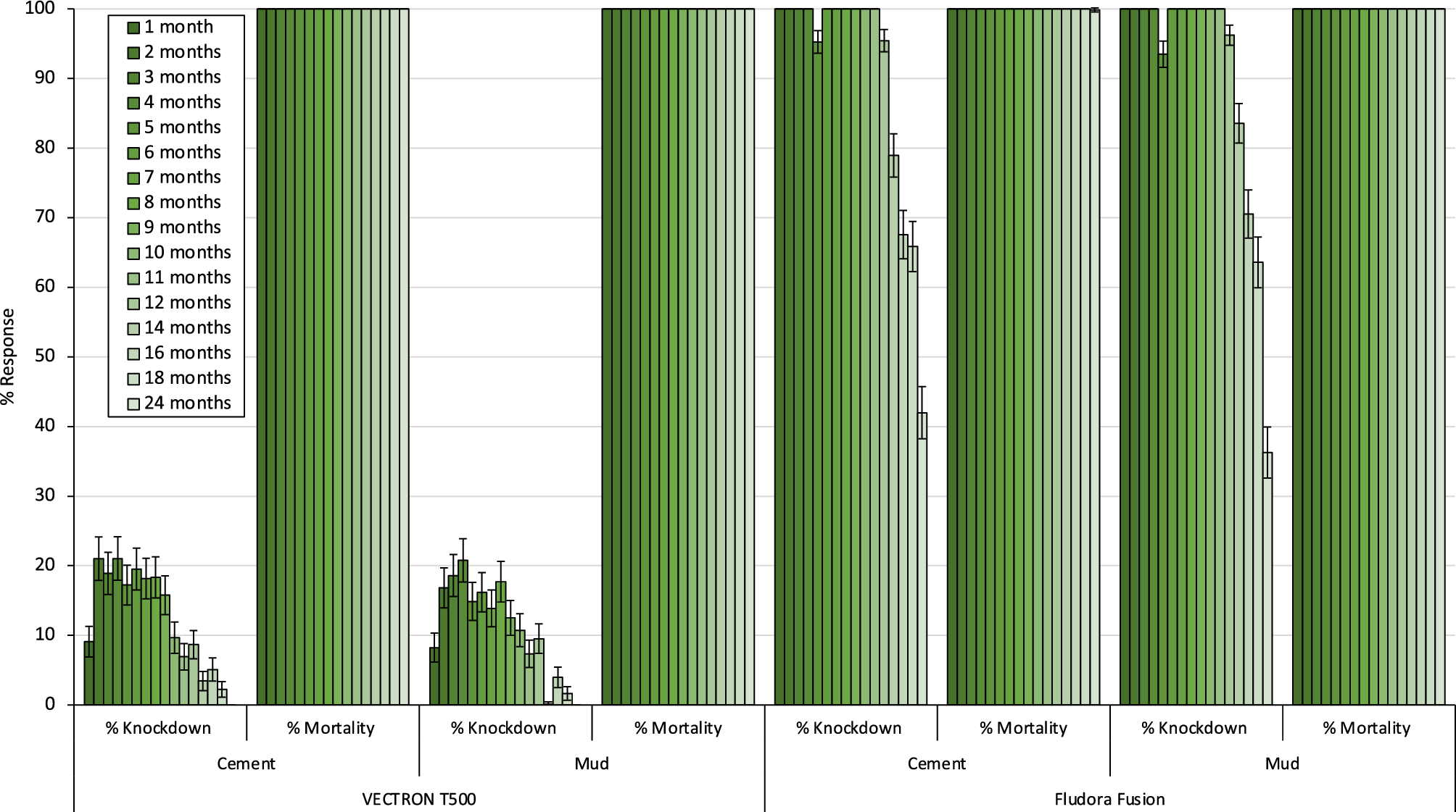
Figure 7

Knockdown (%) and mortality (%) of susceptible Anopheles gambiae s.s. Kisumu in monthly cone bioassays on IRS-treated mud and cement plastered house walls in VECTRON™ T500 and Fludora® Fusion arms.

Knockdown (%) and mortality (%) of susceptible Anopheles gambiae s.s. Kisumu in monthly cone bioassays on IRS-treated mud and cement plastered house walls in VECTRON™ T500 and Fludora® Fusion arms.