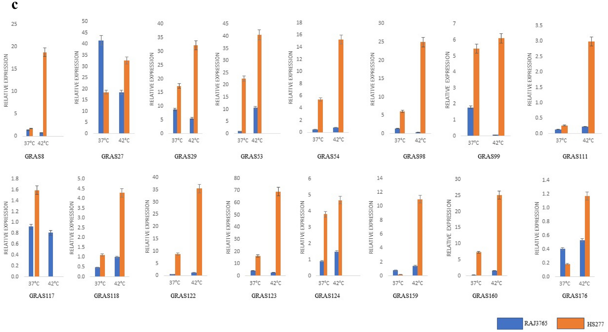
Figure 6


qRT-PCR based differential expression analysis of 20 TaGRAS genes under abiotic stress. (A) drought stress at 20% (v/v) PEG treatment in C306 and WL711 for 24 h leaf tissues, (B) Salt stress treatment at 150 mM NaCl in Kharchia65 and HD2687 at 0 h, 24 h and 48 h leaf tissues, (C) Heat stress treatment in Raj3765 and HD2009 at 37 °C and 42 0C.