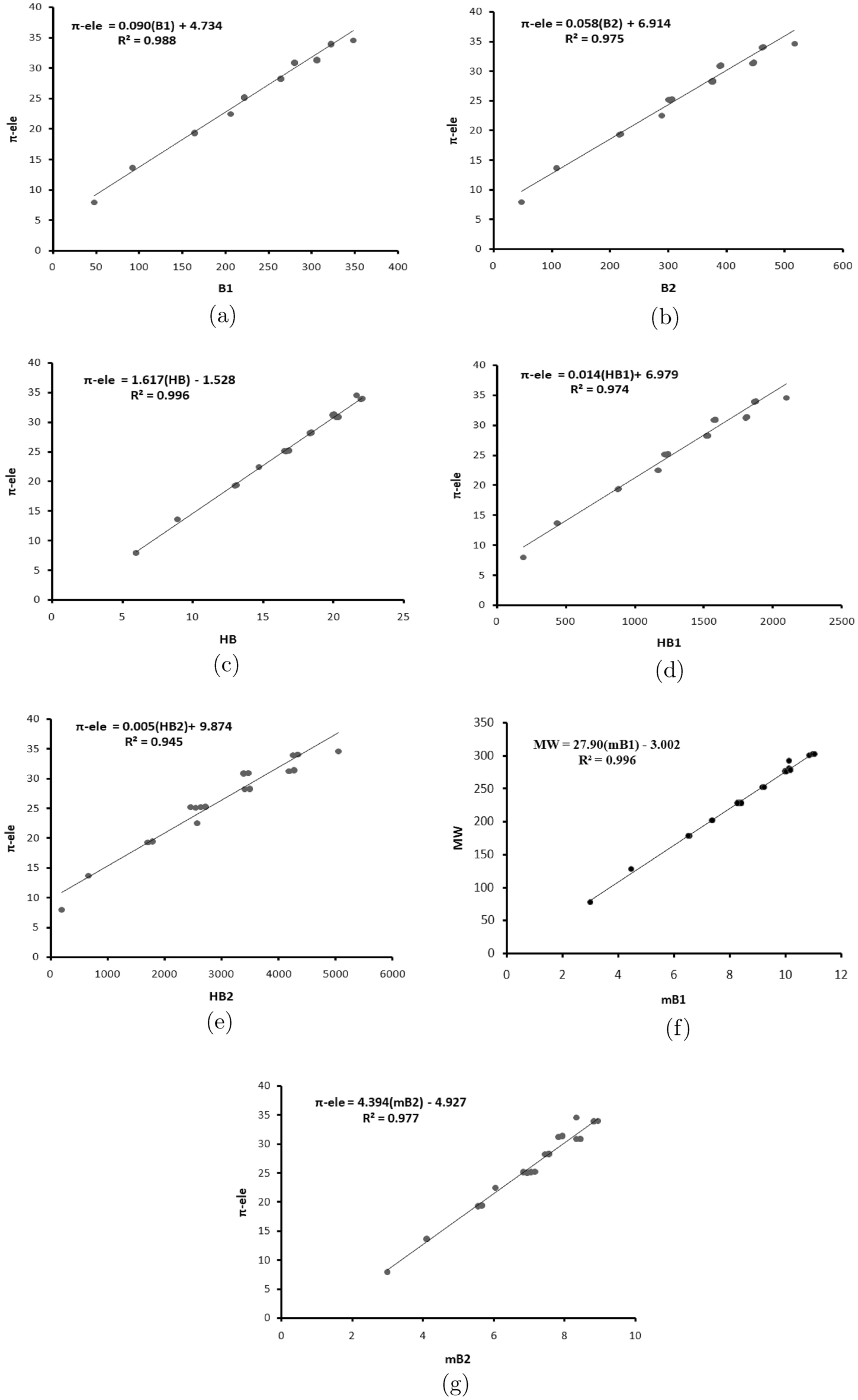
Figure 2

Correlation between (a) \(\pi -ele\) with \(B_1\), (b) \(\pi -ele\) with \(B_2\), (c) \(\pi -ele\) with HB, (d) \(\pi -ele\) with \(HB_1\), (e) \(\pi -ele\) with \(HB_2\), (f) MW with \(^mB_1\), (g) \(\pi -ele\) with \(^mB_2\).

Correlation between (a) \(\pi -ele\) with \(B_1\), (b) \(\pi -ele\) with \(B_2\), (c) \(\pi -ele\) with HB, (d) \(\pi -ele\) with \(HB_1\), (e) \(\pi -ele\) with \(HB_2\), (f) MW with \(^mB_1\), (g) \(\pi -ele\) with \(^mB_2\).