Figure 4
From: Identification of anoikis-related subtypes and immune landscape in kidney renal clear cell carcinoma

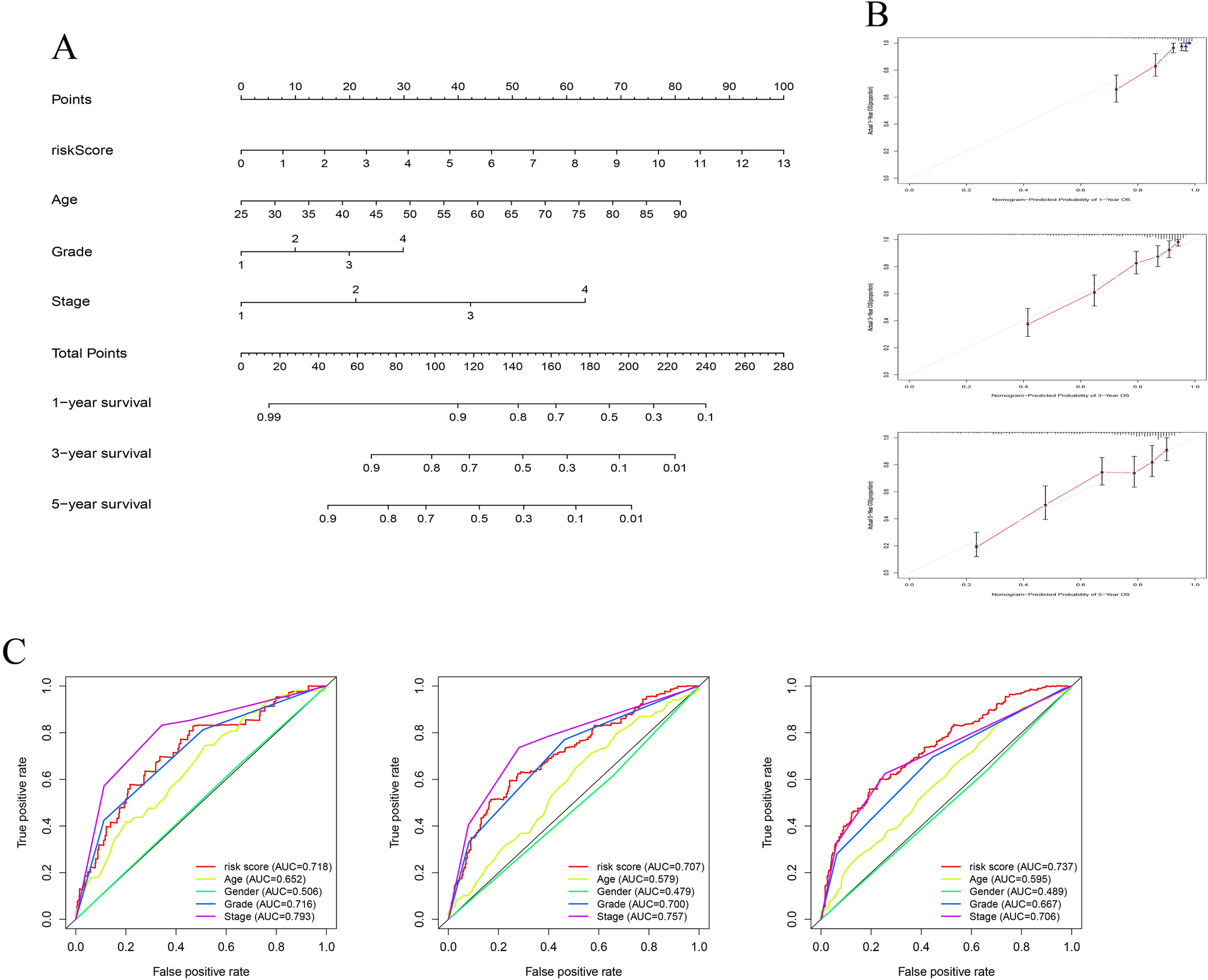
Construction of a nomogram for predicting the survival of KIRC patients. (A) A prognostic nomogram that included clinical pathological features (age, stage, risk score), predicting the 1-, 3- and 5-year survival rates of KIRC patients. (B) The calibration plots for 1-, 3- and 5-year OS show the consistency between the survival probability predicted by the nomogram and the actual outcome. (C) The receiver operating characteristic of OS in 1-, 3- and 5-year showed the prognostic accuracy of anoikis-related gene risk score and other clinical characteristics.