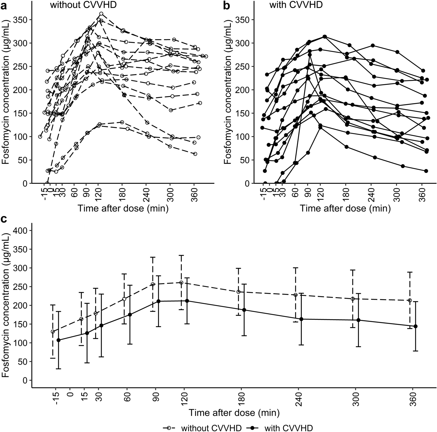
Figure 1

Fosfomycin plasma concentration–time profiles Fosfomycin PK study data after treatment with 5 g of i.v. fosfomycin. Individual (n = 15) plasma concentration–time profiles without (a) and with (b) CVVHD. c Mean (10th to 90th percentiles) fosfomycin plasma concentrations over a period of 360 min differentiated by CVVHD. Circles (dashed lines) and dots (solid lines) represent fosfomycin concentrations without and with CVVHD, respectively. CVVHD = continuous venovenous hemodialysis.