Figure 2
From: Classical analogue to driven quantum bits based on macroscopic pendula

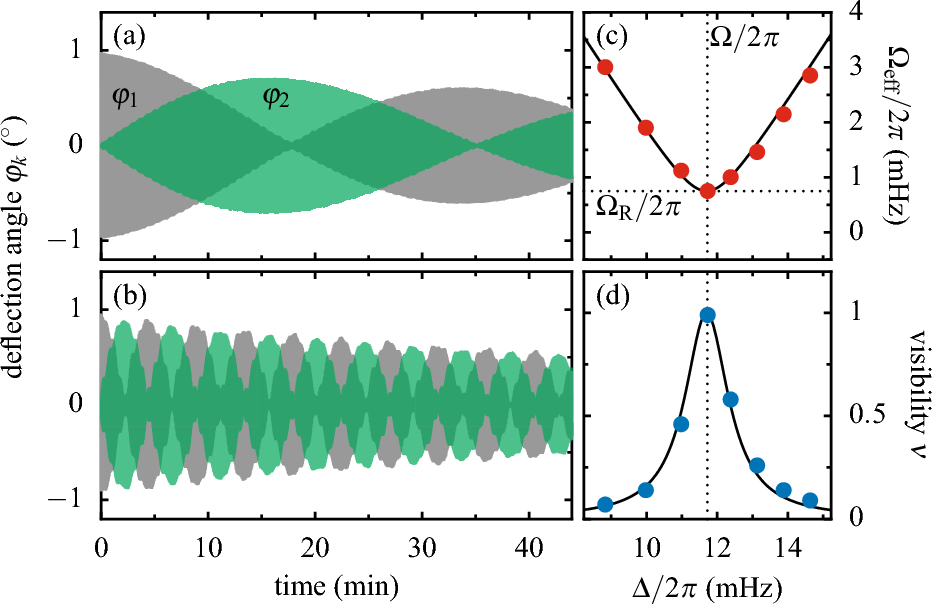
Near resonance Rabi oscillations between the two pendula with mean frequency \(\omega _0/2\pi \simeq 528\) mHz, frequency difference \(\Delta /2\pi =11.7\,\) mHz and modulation frequency \(\Omega /2\pi =11.8\,\) mHz. At \(t=0\) pendulum 1 was deflected at maximally attracting lower and no upper magnets. Individual oscillations are not visible owing to the time axis covering 45 minutes. (a, b) Deflections \(\varphi _1(t)\) and \(\varphi _2(t)\) of the two pendula for the pivot distances \(L=496.5\,\) mm and \(L=330.0\,\) mm resulting in Rabi frequencies of \(\Omega _\text{ R }/2\pi =0.47\,\) mHz versus \(\Omega _\text{ R }/2\pi =3.69\,\) mHz. (c, d) Effective frequency \(\Omega _\text {eff}(\Delta )\) and visibility \(\nu (\Delta )\) of the Rabi oscillations for \(L=454.0\,\) mm. The solid lines represent model predictions.