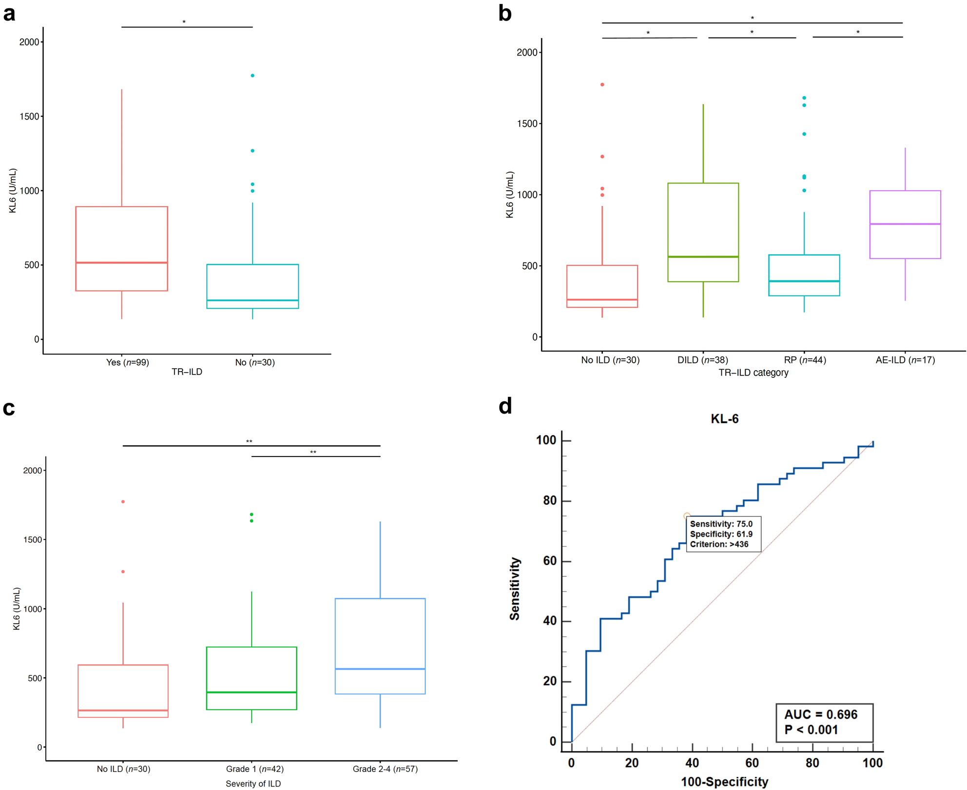
Figure 3

Serum KL-6 and TR-ILD in patients with lung cancer (categories 1 and 2). (a–c) The box-and-whisker plots show differences in median KL-6 levels according to (a) the presence of TR-ILD, (b) the subtype, and (c) the severity of TR-ILD. (d) ROC curve analysis of cut-off serum KL-6 value for predicting severe TR-ILD. *p < 0.05, **p < 0.01. TR-ILD Treatment-related interstitial lung disease, DILD Drug-induced ILD, RP Radiation-induced pneumonitis, AE-ILD Acute exacerbation of underlying ILD, ILD Interstitial lung disease, ROC Receiver operating characteristic, AUC Area under the curve.