Figure 3
From: The possible dual role of Ang-2 in the prognosis of pancreatic cancer

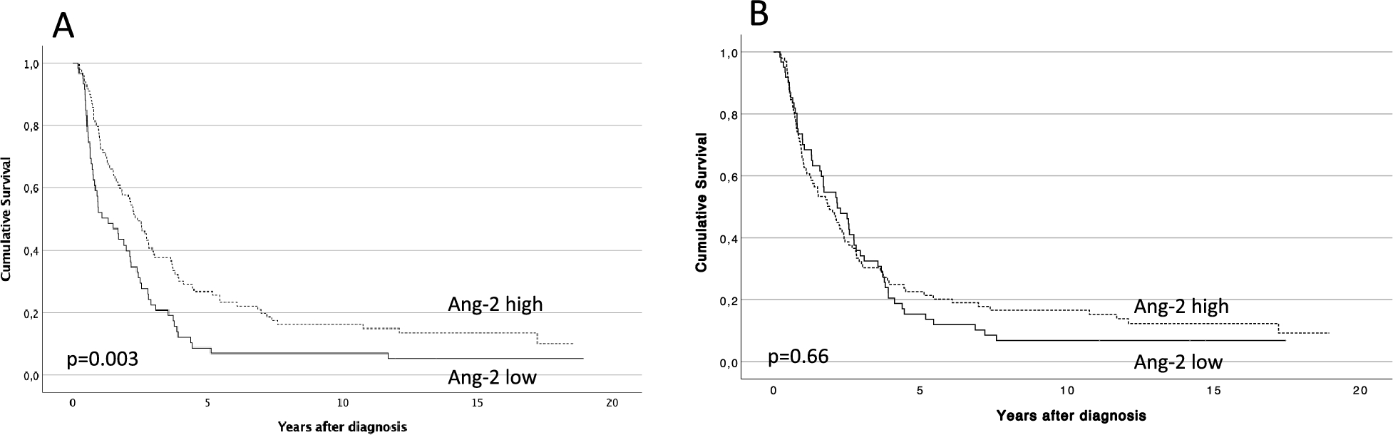
Impact of Ang-2 expression on disease-specific survival using the Kaplan–Meier analysis. (A) Epithelial expression and (B) endothelial expression. Log-rank test was used.