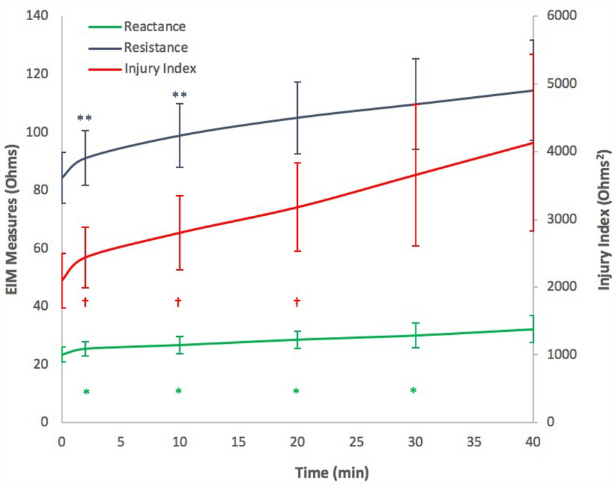
Figure 5

Average reactance, resistance, and injury index (± standard error of mean) values for 12 rats at 450 kHz. *Significant reactance values compared to 0 (baseline tourniquet inflation), 0.046, 0.046, 0.03 and 0.02. **Significant resistance values compared to 0 (baseline tourniquet inflation), 0.031, and 0.032. †Significant injury index values compared to 0 (baseline tourniquet inflation), 0.007, 0.032, and 0.048.