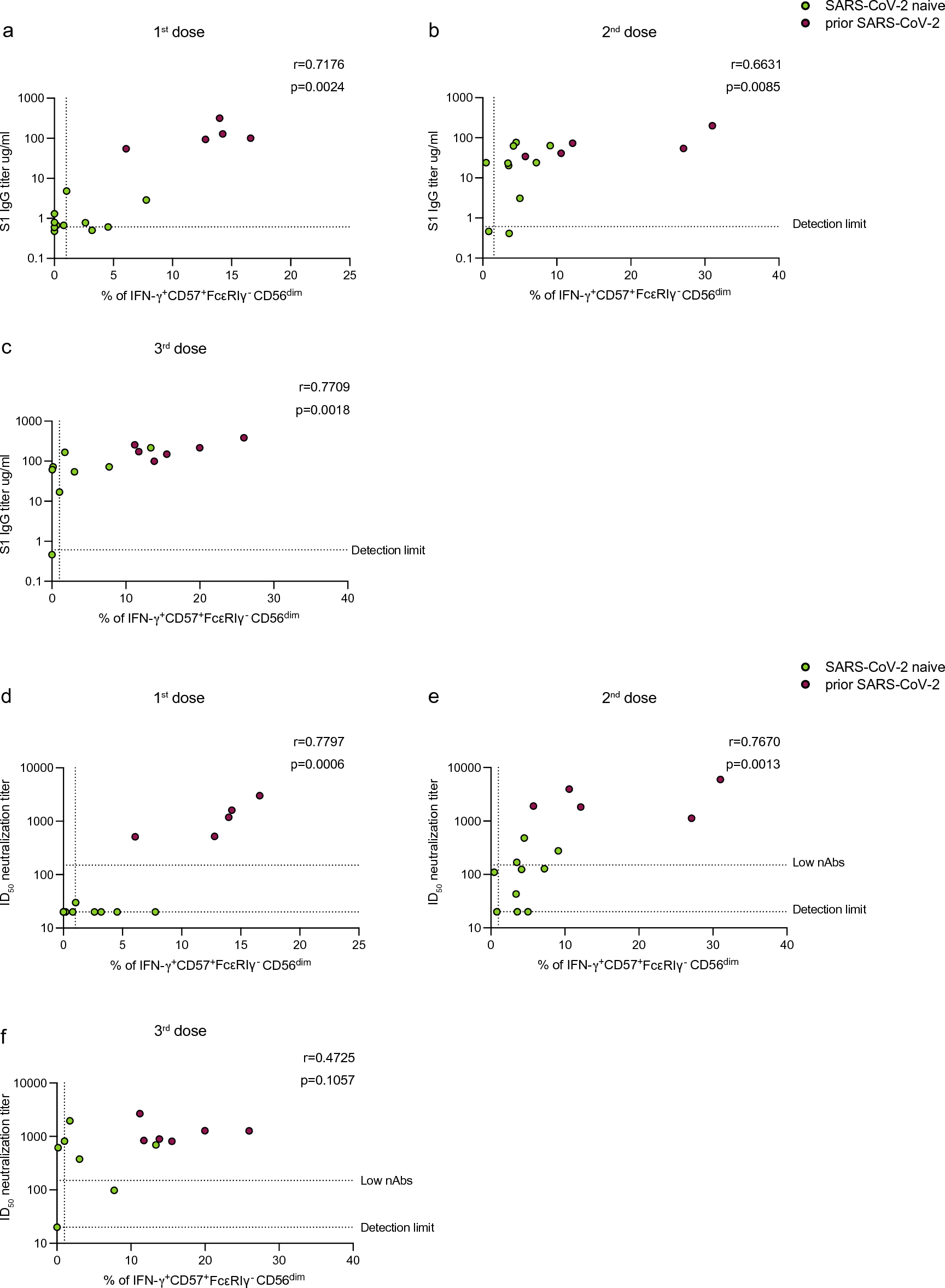
Figure 5

Correlation analysis between antibody-dependent NK cell responses and anti-SARS-CoV-2 antibody concentration in PLWH. Correlation of IFN-γ+ CD57+FcεRIγ− CD56dim NK cell responses with S1 IgG-specific titers after (a) first, (b) second, and (c) third dose in PLWH, with or without prior SARS-CoV-2 infection (limit of detection 0.6 µg/ml). Correlation between the frequencies of IFN-γ+ CD57+FcεRIγ− CD56dim NK cells and nAb titers after (d) first, (e) second, and (f) third dose in PLWH, with or without prior SARS-CoV-2 infection (limit of detection ID50 = 20, low level of nAb ID50 = 150). The non-parametric Spearman test was used for correlation analysis (two-tailed) (unadjusted p value displayed) [Adjusted p values after Benjamini-Hochberg (a, p = 0.006), (b, p = 0.0182), (c, p = 0.003), (d, p = 0.0035), (e, p = 0.006), (f, p = 0.0048)].