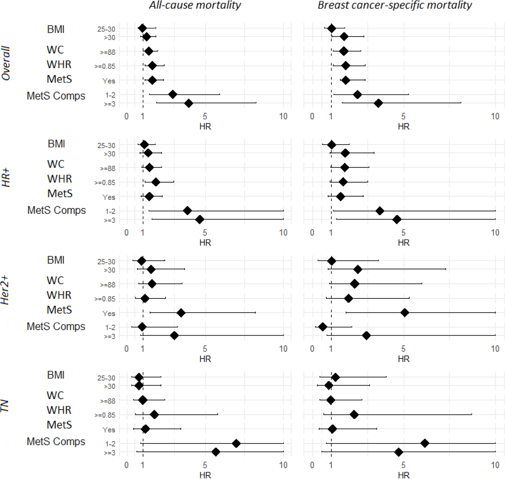
Figure 1

Forest plot for BMI, WC, WHR, MetS, MetS components of all-cause and BC-specific mortality. Forest plot of the HRs and 95% CI of All-cause and BC-specific mortality for BMI, WC, WHR, MetS, MetS components and molecular subtypes: overall and by molecular subtypes. HR+ hormone receptor positive, HER2+ human epidermal growth factor receptor-2 positive, TN triple negative, BMI body mass index (BMI is calculated as weight in kilograms divided by height in meters squared), WC waist circumference (in centimeters), WHR waist-to-hip ratio (WHR calculated as the ratio between waist and hip circumferences), MetS metabolic syndrome (defined according to NCEP-ATP III criteria), MetS comps metabolic syndrome components (1-2, ≥ 3).