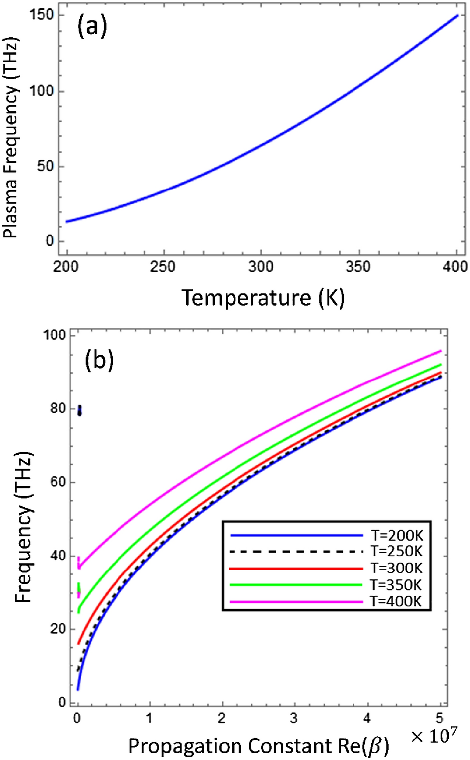
Figure 3

(a) Plasma frequency of indium antimonide (InSb) as function of external temperature (T). (b) Dispersion curve analysis of TM-Polarized surface waves supported by Graphene-coated indium antimonide under temperature variation with \({\mu }_{c}=0.2\text{ eV}\), \(\tau =0.6\text{ ps}\), \({\varepsilon }_{\infty }=15.68\), \(\gamma =\pi \times {10}^{11}\text{ rad }{\text{s}}^{-1}\) and \({E}_{g}=0.26\text{ eV}\).