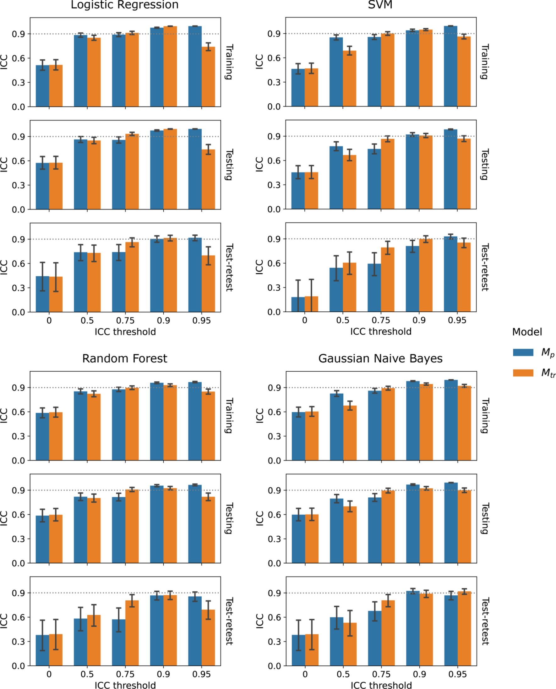
Figure 4

Bar plots for comparing robustness between models based on repeatable features assessed by image perturbation (\({M}_{p}\), blue) and the test–retest imaging (\({M}_{tr}\), orange) under varying thresholds for logistic regression, SVM, random forest, and gaussian naive bayes classifiers. Model robustness was evaluated by probability prediction ICC under perturbation or tests-retest. The error bars indicate 95% confidence intervals acquired during ICC calculation.