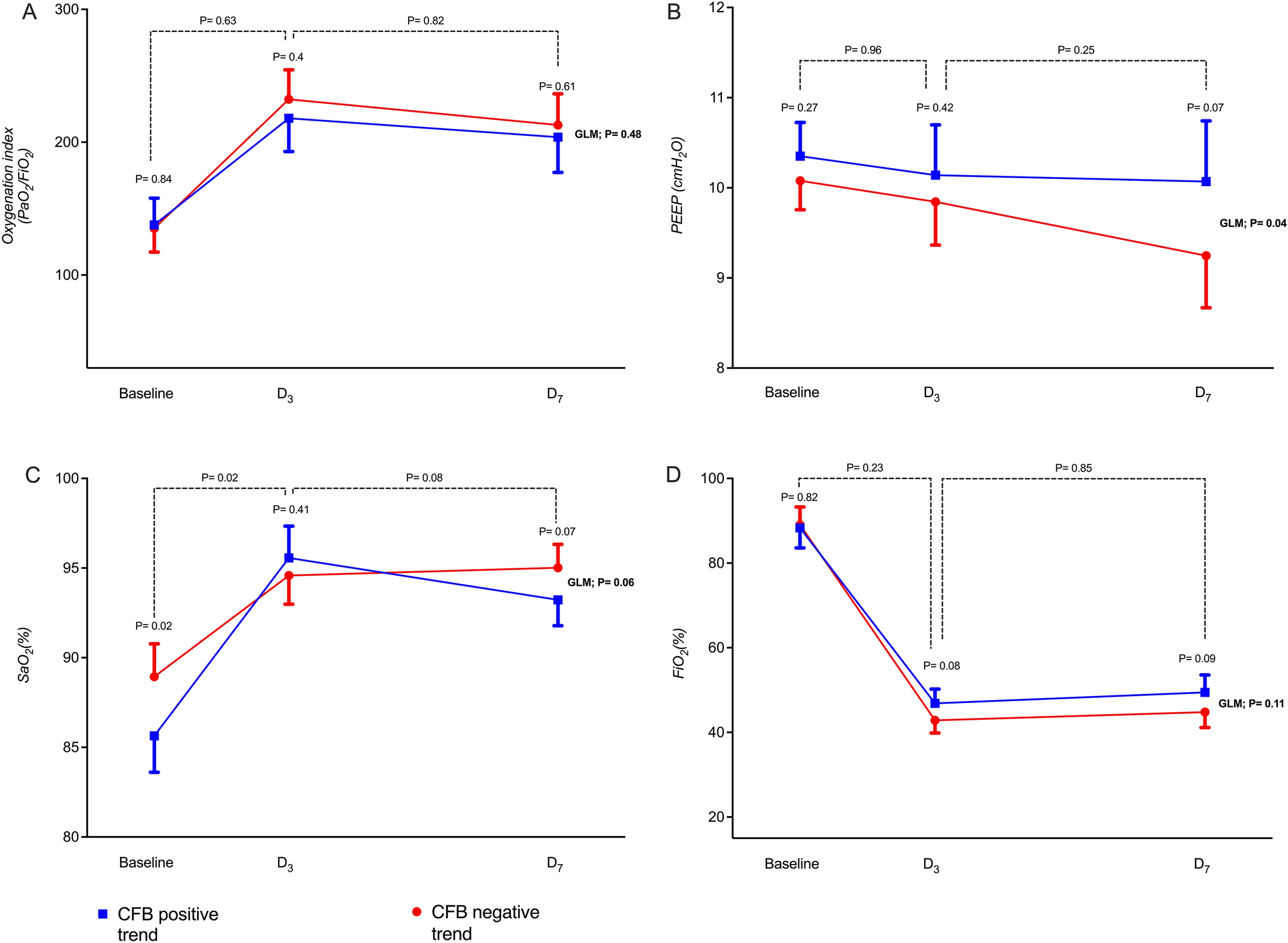
Figure 2

Comparison of ventilatory and laboratory parameters in different study time points (D0, D3, and D7) between the cohorts: (A) oxygenation index, (B) arterial oxygen saturation (SaO2), (C) positive end-expiratory pressure (PEEP) and (D) fraction of inspired oxygen (FiO2).