Figure 1

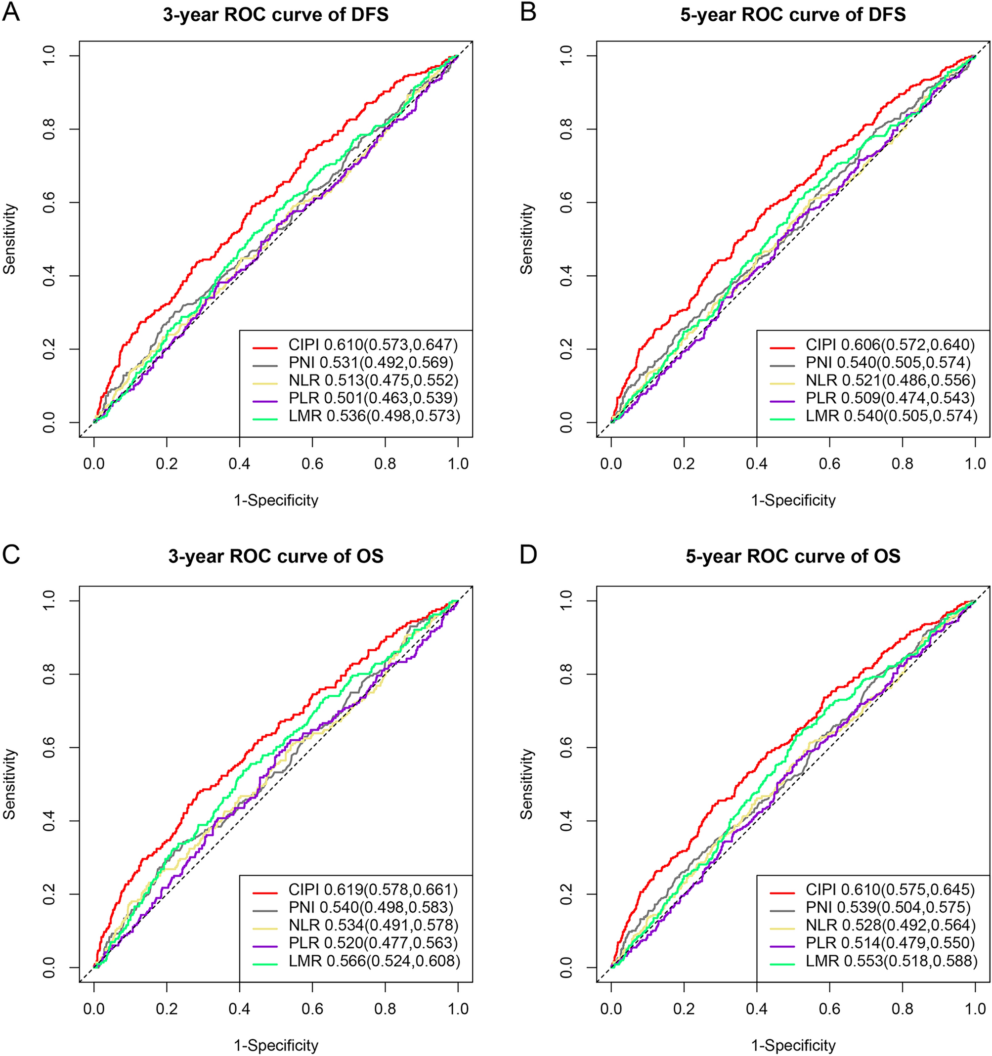
Comparison with other prognostic indicators. Notes (A) 3 years ROC curve of DFS; (B) 5 years ROC curve of DFS; (C) 3 years ROC curve of OS; (D) 5 years ROC curve of OS.

Comparison with other prognostic indicators. Notes (A) 3 years ROC curve of DFS; (B) 5 years ROC curve of DFS; (C) 3 years ROC curve of OS; (D) 5 years ROC curve of OS.