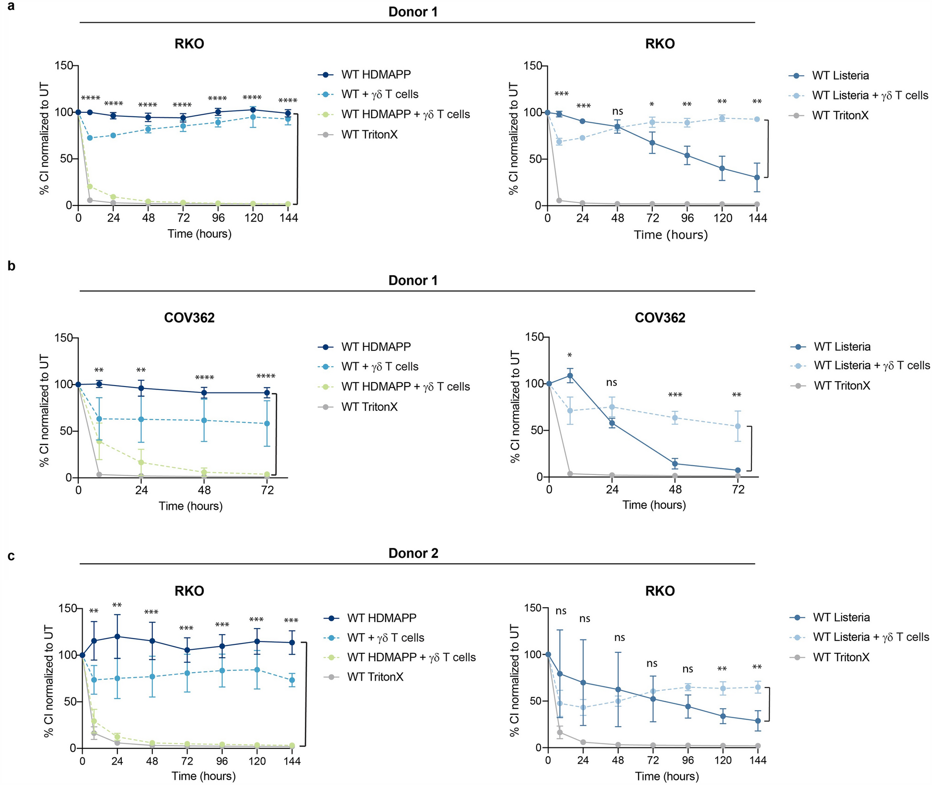
Figure 1

RTCA was performed with RKO (a,c) or COV362 (b) cells co-cultured with Vγ9+Vδ2+ T cells donor 1 (a,b) or donor 2 (c). Target cells were either treated with HDMAPP (left panel) or infected with L. monocytogenes (right panel). Triton-X was used as positive control for cytotoxicity. Cell Index of the treatments was normalized to the untreated sample (100%). Two-tailed unpaired Student’s t-test was performed using GraphPad Prism comparing HDMAPP with HDMAPP + Vγ9+Vδ2+ T cells or L. monocytogenes with L. monocytogenes + Vγ9+Vδ2+ T cells. P-values: ns P > 0.05; *P ≤ 0.05; **P ≤ 0.01; ***P ≤ 0.001; ****P ≤ 0.0001. Experiments were performed in biological triplicates.