Figure 12
From: Study on lightening of coal tar with metal oxide supported γ-Al2O3 catalyst

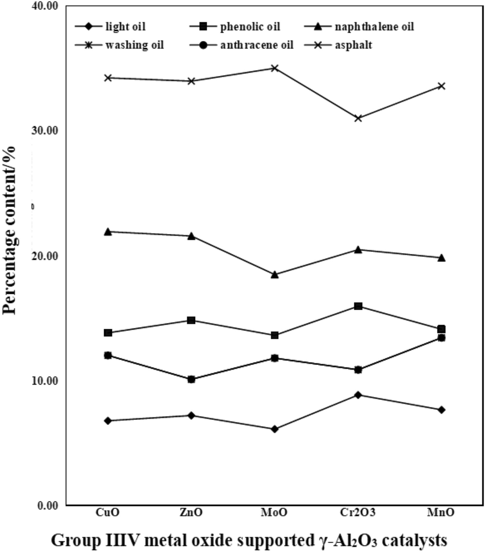
Distribution of coal tar components by Group VIII metal oxide supported catalysts.
From: Study on lightening of coal tar with metal oxide supported γ-Al2O3 catalyst

Distribution of coal tar components by Group VIII metal oxide supported catalysts.