Figure 8
From: Study on lightening of coal tar with metal oxide supported γ-Al2O3 catalyst

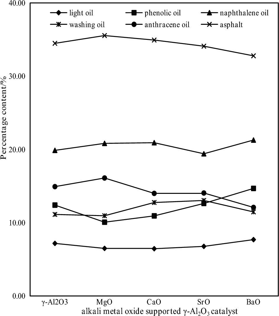
Distribution of tar components by alkaline earth metal oxide supported catalysts.
From: Study on lightening of coal tar with metal oxide supported γ-Al2O3 catalyst

Distribution of tar components by alkaline earth metal oxide supported catalysts.