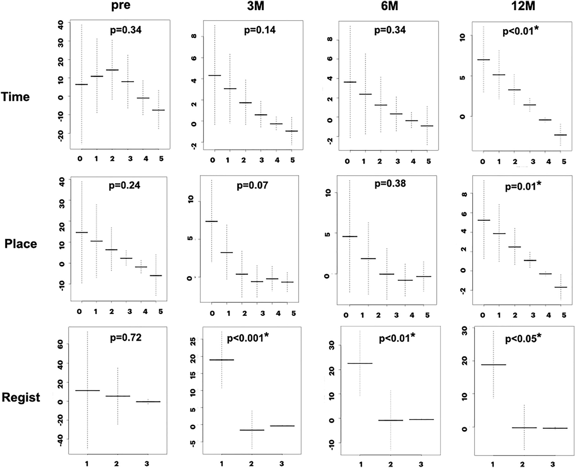
Figure 4

Association between TUG time and MMSE ordinal sub-items (Time, Place, Registration). The “Time” and “Place” sub-items shows a statistically significant association at 12 months. The “Registration” sub-item shows a significant association at 3, 6, and 12 months. Y-axis coefficients, p probability, Pre preoperative state, 3M, 6M, 12M, 3, 6, and 12 months after surgery.