Figure 6
From: High prevalence group testing in epidemiology with geometrically inspired algorithms

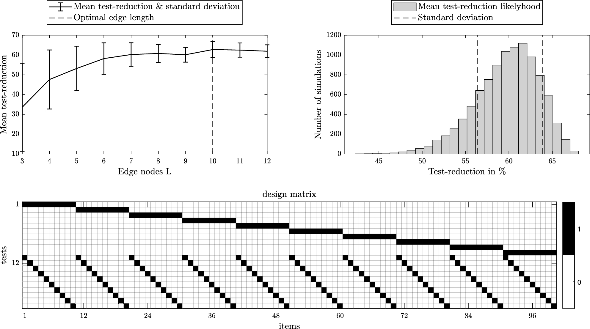
Execution summary of the code on the public GitHub repository with N = 100 and k = 5.
From: High prevalence group testing in epidemiology with geometrically inspired algorithms

Execution summary of the code on the public GitHub repository with N = 100 and k = 5.