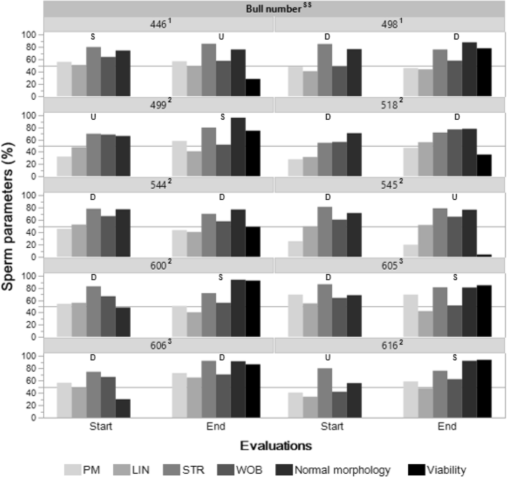
Figure 1

Changes of sperm parameters and sperm quality of bulls with different sanitary status. SS sanitary status: 1 = BLV+/BHV-1+, 2 = BLV−/BHV-1+, 3 = BLV−/BHV-1−. Sperm quality: S = satisfactory, D = doubtful, U = unsatisfactory. Sperm parameters: PM = progressive motility, LIN = linearity of forward progression, STR = straightness, WOB = wobble. The horizontal lines indicate values of 50%.