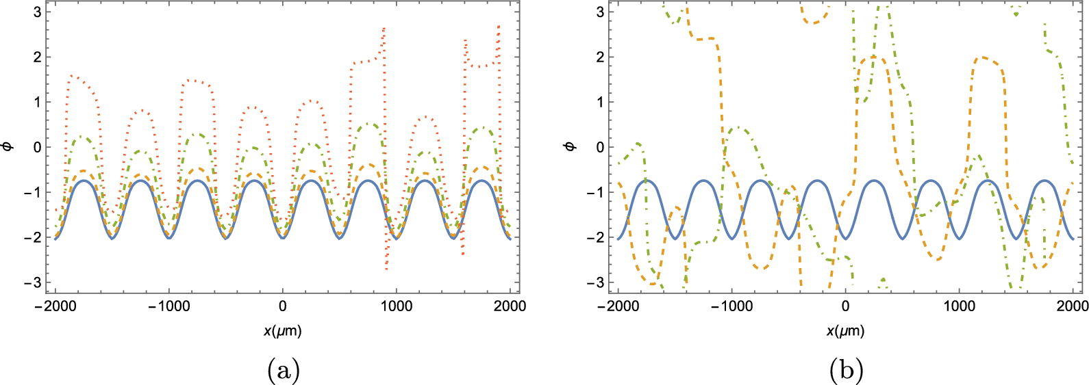
Figure 10

Phase of the condensate wavefunction throughout the strip at an arbitrary long time \(t\gg \tau _C\), where \(\tau _C \approx 14\) ps is the period of oscillations of the BEC. (a) Solid blue line corresponds to the mean-field dynamics, dashed yellow line corresponds to \(\kappa + \gamma = 0.5\) meV, the dot-dashed green line corresponds to \(\kappa + \gamma = 1\) meV, and the dotted red line corresponds to \(\kappa + \gamma = 1.5\) meV. (b) the solid blue line corresponds to the mean-field dynamics, the solid blue line corresponds to the mean-field dynamics, the dashed yellow line corresponds to \(\kappa + \gamma = 2\) meV, and the dot-dashed green line corresponds to \(\kappa + \gamma = 5\) meV.