Figure 5
From: Study on optimization of layout parameters of high-level boreholes in Pingdingshan coal mine

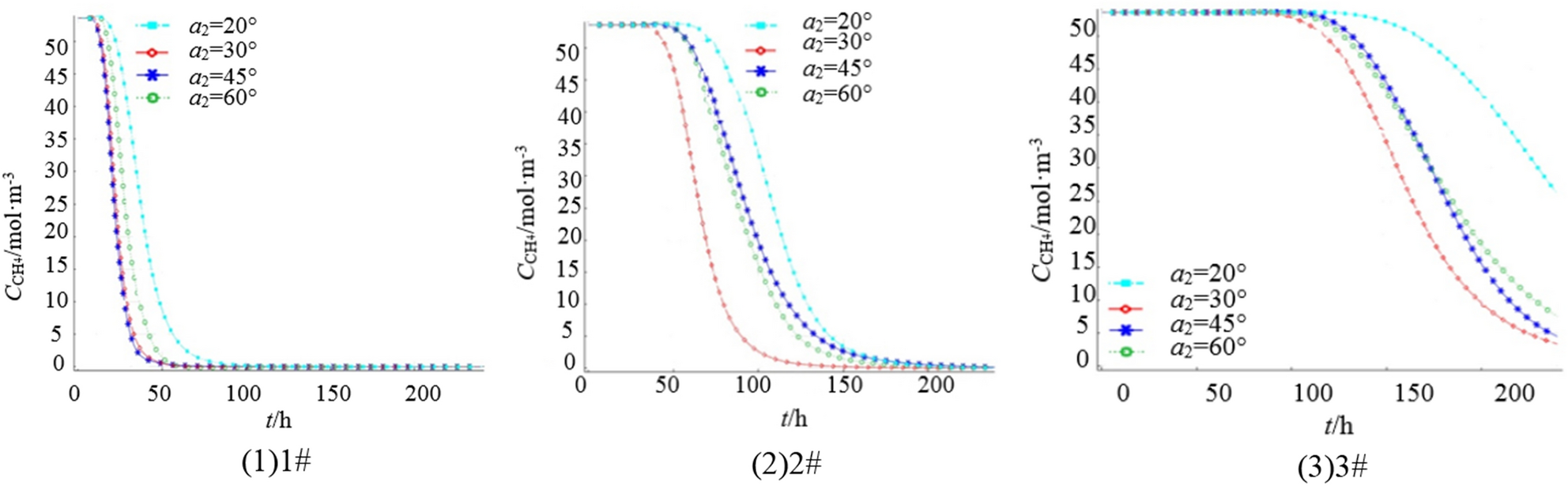
Variation curve of gas concentration at each monitoring point under different borehole azimuth.
From: Study on optimization of layout parameters of high-level boreholes in Pingdingshan coal mine

Variation curve of gas concentration at each monitoring point under different borehole azimuth.