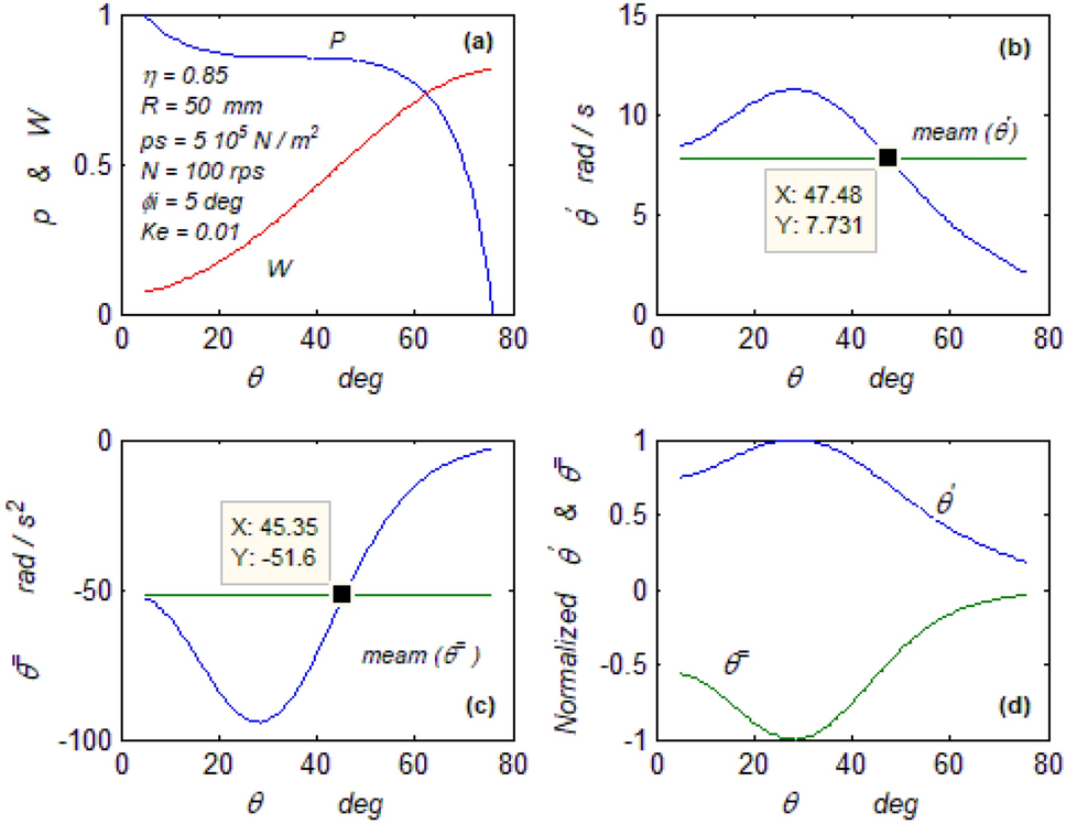
Figure 3
From: Analytical study of the spherical hydrostatic bearing dynamics through a unique technique

Bearing vibratory factors distribution. (a) Local pressure and load, (b) Local angular velocity, (c) Local angular acceleration, (d) Superimposing the velocity & acceleration.