Figure 3

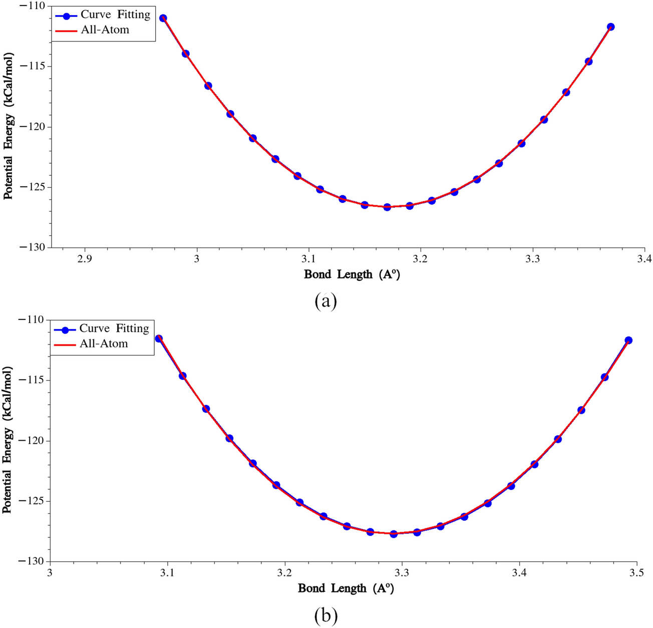
(a) Calibration of bonding potential for the bond connecting residues No. 9 and 10, (b) Calibration of bonding potential for the bond connecting residues No. 30 and 31.

(a) Calibration of bonding potential for the bond connecting residues No. 9 and 10, (b) Calibration of bonding potential for the bond connecting residues No. 30 and 31.