Figure 2
From: Identification of a cholesterol metabolism-related prognostic signature for multiple myeloma

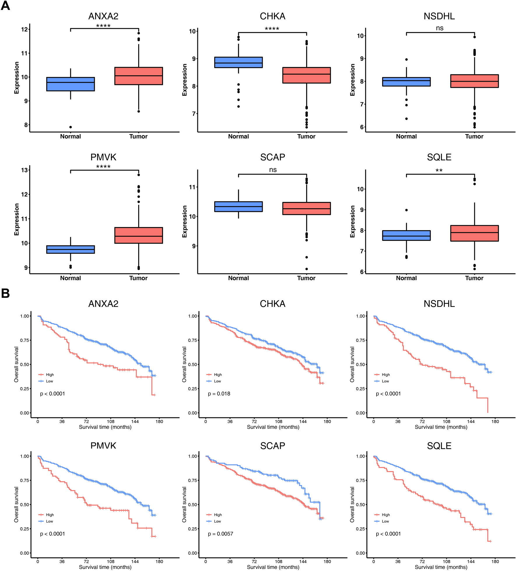
Validation of the expression and prognostic capability of signature-containing genes. (A) Boxplot showing the expression difference of 6 CMGs between tumor samples and normal samples in GSE118985. (B) Kaplan–Meier analyses of overall survival based on expression levels of 6 CMGs in GSE136324. **, P < 0.01; ****, P < 0.0001; ns, not significant.