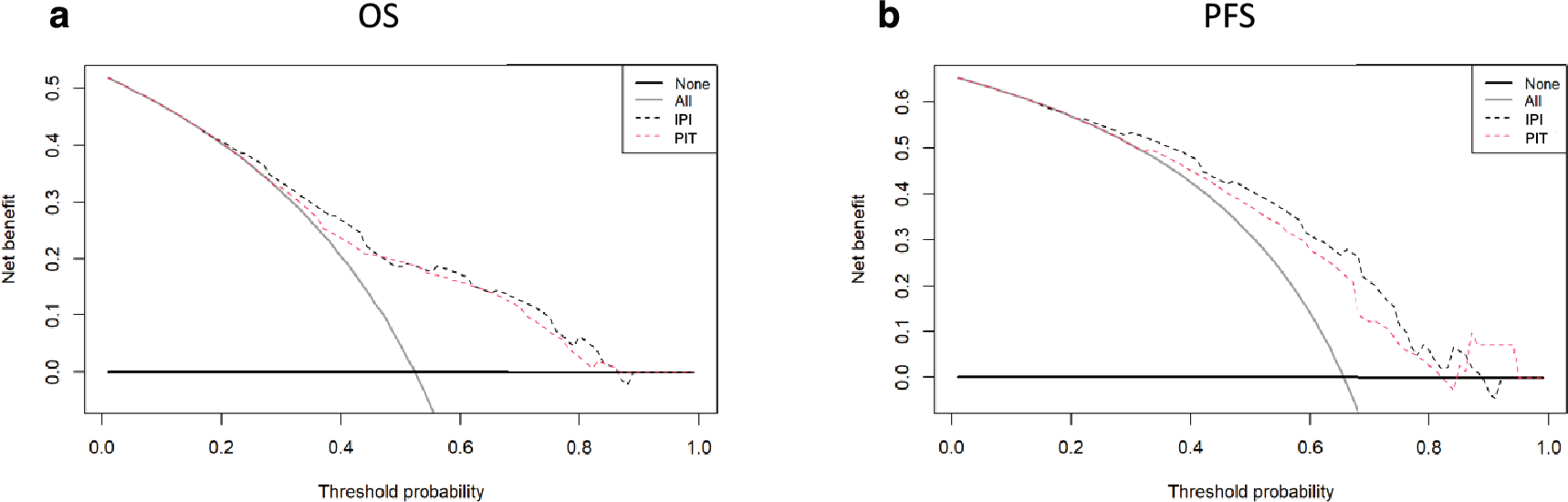
Figure 4

Decision curve analysis comparing the prognostic abilities of IPI and PIT in predicting (a) OS and (b) PFS. The gray line represents the net benefit of treating all patients, assuming all patients survive. The black line represents the net benefit if all patients were treated in the same way, assuming all patients die. The red dotted line represents the net benefit if patients were treated according to IPI. The black dotted line represents the net benefit if patients were treated according to PIT. OS overall survival, PFS progression-free survival, IPI International Prognostic Index, PIT Prognostic Index for PTCL-U.