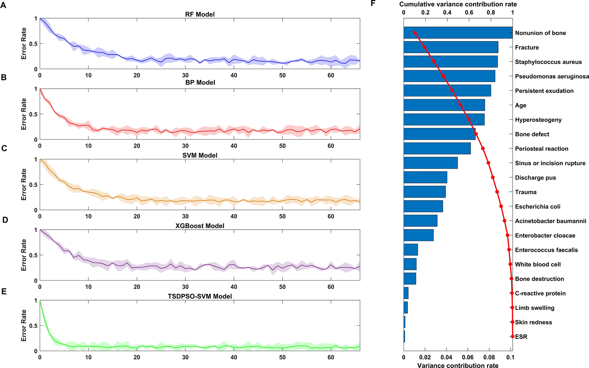
Figure 3

Results of feature dimension reduction based on the PCA method. RF (A), BP (B), SVM (C), XGBoost (D), and TSDPSO-SVM (E). When setting the parameters for the RF model, there are several important factors to consider: Number of trees: 100, Maximum depth: 6, Minimum samples split: 2, Minimum samples per leaf: 1, Maximum features: 5. The parameters of the BP model can exert a significant impact on its performance and convergence. There are several important parameters that need to be set: Learning rate (η): 0.01, Activation function: sigmoid, Training target error: 1e−3, Maximum number of iterations: 10,000, Power factor: 0.9, and Number of hidden layers and neurons: 2 and 10*6. When training an SVM model, there are several important parameters that need to be considered: Kernel function: RBF, Penalty parameter: 1, and Error convergence conditions: 1e−3, and there is no limit on the maximum number of iterations. Some important parameter settings for the XGBoost model are presented as follows: Booster type: gbtree, Learning rate: 0.1, Gamma: 0, Lambda: 0, Alpha: 0, Maximum depth of a tree: 6, Minimum sum of instance weight needed in a child: 1, Subsample ratio of the training instance: 1, Subsample ratio of columns when constructing each tree: 1, and Number of boosting rounds: 10. In the TSDPSO-SVM model, there are several important parameters that need to be set: Swarm size: 20, Maximum number of iterations: 500, Cognitive parameter (C1): 2, Social parameter (C2): 2, Maximum speed: 4, Inertia weight: 0.9, and Convergence criteria: 1e−3. All parameter settings in the SVM process are specific to the SVM model. In the models, the feature set after dimensionality reduction is used to conduct unsupervised learning on FRI case samples. The abscissa represents the number of features in the feature set. The ordinate represents the test error rate. (F) Results of the variance contribution rate and cumulative variance contribution rate of the “optimal feature set”. The histogram represents the variance contribution rate, and the red line represents the cumulative variance contribution rate. The ordinate represents the selected feature set.