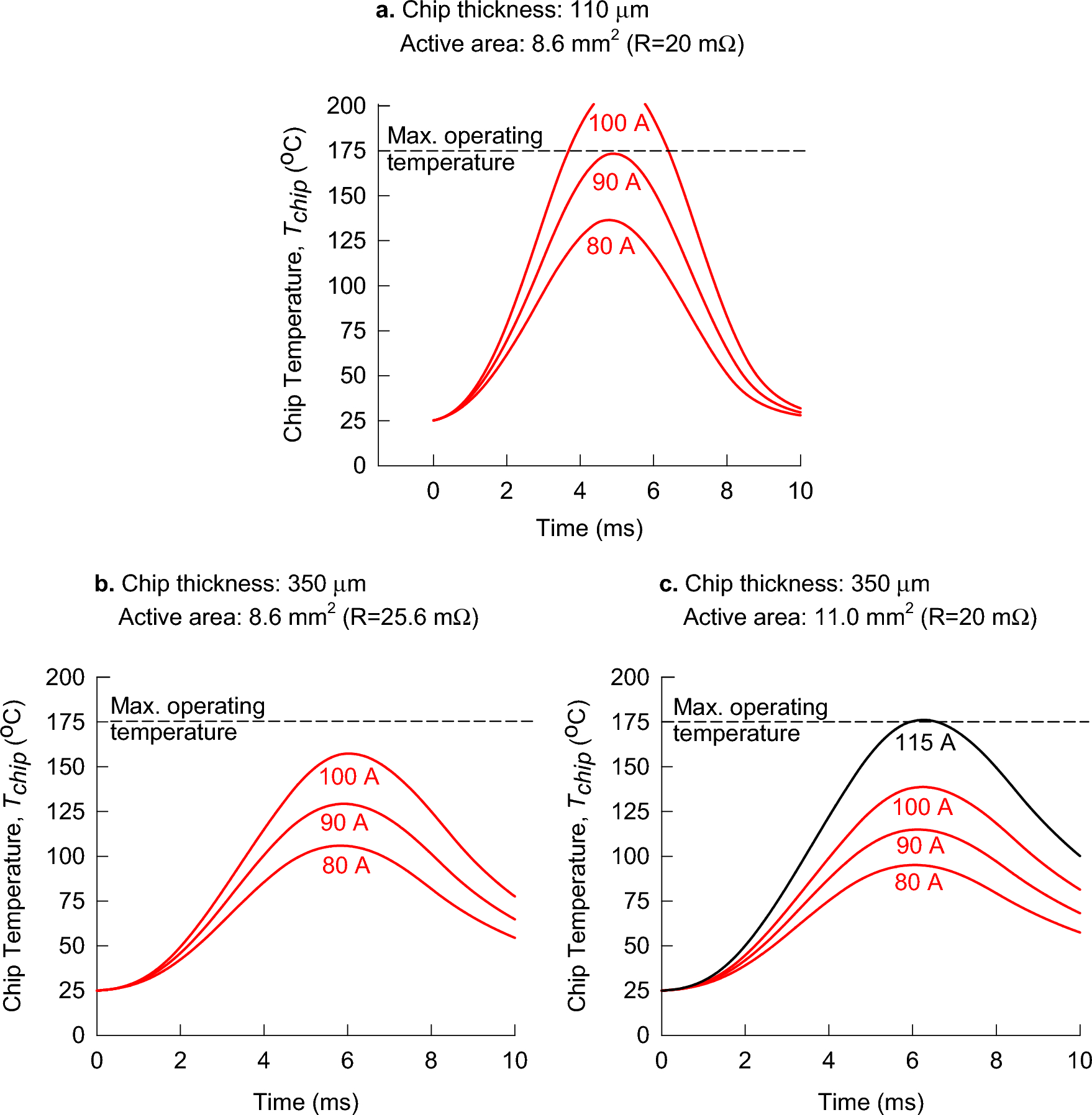
Figure 4

Chip temperatures of 1200 V MPS diodes in response to different peak surge currents: (a) the commercially available 1200 V MPS diode with a wafer thickness of 110 μm, as shown in Fig. 3; (b) 1200 V MPS diode with the chip thickness of 350 μm and the same area as the commercial diode; (c) 1200 V MPS diode with the chip thickness of 350 μm and increased area to match the electrical resistance of the commercial diode.